С использованием нечетких бинарных отношений в отношении нестрогого предпочтения R≥ на множестве D задаются и описываются свойства нечетких отношений строгого предпочтения R≥ и отношения безразличия R~. При этом обычно считают, что нечеткое отношение нестрогого предпочтения R≥ обладает только свойством рефлексивности, то есть µR≥ (d', d") = 1 для любых d'
D, а для любой пары элементов d', d"
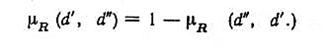
D значение функции принадлежности µR≥ (d', d") понимается как степень выполнения предпочтения: «элемент d' «не хуже» элемента d"». Равенство µR≥ (d', d") = 0 означает, что либо µR≥ (d",d') > 0 («элемент d" «не хуже» элемента d'»), либо — µR≥ (d", d') =0 (элементы d' и d" несравнимы между собой).
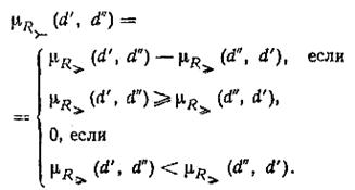
По заданному нечеткому отношению R> нечеткие отношения R> и R~ определяются следующим образом.
Нечеткое отношение строгого предпочтения имеет функцию принадлежности:

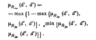
Нечеткое отношение безразличия имеет функцию принадлежности:

Помимо отношения безразличия, которое транзитивно, симметрично и рефлексивно, вводится нечеткое отношение квазиэквивалентности R# с функцией принадлежности µR# (d', d") = min {µR≥ (d', d"), µR≥ (d",d')}.
В отличие от отношения безразличия отношение R# в общем случае нетранзитивно. В противном случае R# = R~.
Таким образом, рассмотренные отношения предпочтения обладают следующими свойствами нечетких бинарных отношений: R~, R# — рефлексивны и симметричны; R> — нерефлексивно и антисимметрично; во всех случаях, если исходное отношение R> транзитивно, то тем же свойством обладают и нечеткие отношения /?ф и R^, a R~ — всегда транзитивно.
Как и в случае обычных нечеткий отношений, важным свойством является свойство связности, которое приводит к тому, что во множестве D все элементы сравнимы по предпочтительности. В случае нечеткого отношения однозначно можно определить лишь полное отсутствие связности: нечеткое отношение
не связно тогда и только тогда, когда среди элементов множества D найдутся такие d' и d", для которых µR≥ (d', d") =µR≥ (d",d')= 0
Поэтому свойство связности нечеткого отношения понимается шире, чем в случае обычного отношения (функция принадлежности которого релейна) µR≥ = {0; 1}, то есть рассматривают различные степени связности отношения.
Отношение
называется h-связным, если его функция принадлежности удовлетворяет условию

Так, отношение предпочтения с функцией принадлежности µR≥ является 0,55-связным, то есть из каждых двух элементов, по крайней мере, один хуже другого со степенью, большей 0,55.
Особое место в задачах принятия решений с использованием нечетких отношений имеют слабосвязные (h = 0) и сильно связные отношения. Для сильносвязного отношения функция принадлежности удовлетворяет условию

что эквивалентно утверждению

Модельные отношения нечетких отношений предпочтения по аналогии с обычными отношениями имеют различные градации, которые можно сопоставить с приведенными в табл. 1. В этом случае обычное отношение несравнимости и неразличимости задается нечетким отношением «сходство безразличия — подобия», а отношение нестрогого предпочтения, моделируемое несвязным квазипорядком, — «предпорядком»; отношения строгого предпочтения — «нестрогим» и «строгим порядком». Дополнительно используют нечеткие отношения «различия» (антирефлексивное, транзитивное, симметричное) и «несходства» (антирефлексивное, симметричное).
Для того чтобы осуществить однозначный выбор среди множества допустимых альтернатив, выявленные предпочтения ЛПР должны в наибольшей степени соответствовать «идеальной» системе предпочтений. Система предпочтений в таком определении в общем случае должна отвечать следующему набору свойств: транзитивности, асимметричности (или в крайнем случае рефлексивности) и связности. Для обеспечения указанного набора свойств необходимо получить от ЛПР очень «сильную» и объемную информацию как относительно его предпочтений, так и относительно существа рассматриваемой проблемы. При анализе слабоструктуризованных проблем на начальных этапах исследования в условиях существенной неопределенности и дефицита времени удовлетворить таким требованиям практически невозможно. Это заставляет последовательно выявлять предпочтения ЛПР' по мере уяснения им целей и задач, условий проведения операции и получения промежуточных результатов. Каждый отдельный из применяемых способов выявления предпочтений не обеспечивает требуемого набора свойств и лишь частично вскрывает систему предпочтений и, следовательно, лишь частично снимает неопределенность в выборе. Степень снижения неопределенности зависит от того, какими возможностями обладают те или иные способы выражения предпочтений, то есть на обеспечение каких именно требований к системе предпочтений они ориентированы в первую очередь. Выбирая тот или иной способ, необходимо руководствоваться, с одной стороны, степенью снижения неопределенности в выборе путем обеспечения конкретного свойства структуры предпочтений, а с другой стороны, — возможностью использовать данный способ на данном шаге принятия решений. Это приводит к противоречию между желанием использовать более простые способы и стремлением максимально вскрыть систему предпочтений ЛПР.
Для решения указанного противоречия рассмотренные способы выражения предпочтения применяют в комплексе, обеспечивая их «вложенность» по последовательному сужению неопределенности в выборе в направлении обеспечения: 1) транзитивности на классах элементов из предъявленной совокупности (способ сортировки с последующим ранжированием классов); 2) асимметричности или хотя бы рефлексивности внутри класса (попарное сравнение, балльное оценивание) и получения подклассов «нехудших» элементов; 3) связности элементов внутри подклассов (попарное сравнение элементов в долях суммарной или относительной интенсивности, получение коэффициентов важности); 4) проверки согласованности предпочтений (для устранения противоречивых суждений, возникших при декомпозиции задачи).
Моделируемые отношения в случае 1 представляются квазисерией или строгим порядком (частичным или связным), в случае 2 — частичным квазипорядком или эквивалентностью, в случае 3 — связным квазипорядком, то есть при выборе конкретного способа выявления предпочтений необходимо ориентироваться на то, какие свойства системы предпочтений будут выявлены.
В задачах принятия решений отношения предпочтения задают либо аналитическими выражениями, либо логическими условиями, либо алгоритмами. Это и определяет конкретный способ выражения и измерения предпочтений.