X
A3
A2
A1
4.
2.
I
П
A · A
5 0
/1 2 3\ /3 6 9
Пример 3. Пусть Л = 3и A =(|. Тогда 3A= i
Произведением, млтрицы A = { а ij} размера m × гг на матрицу B = { 6 ij} размера п × к называют матрицу С = {cij} размера m × к, элементами которой являются всевозможные произведения строк матрицы A на столбцы матрицы B. Обозначение: С = A · B или С = AB. Это определение не является полным.
Пример 4. Пусть A= i |и B = - 1 0|. Тогда
1 · 1 - 2 · (- 1) + 3 · 2 1 · 1 - 2 · 0 + 3 · 3 9 10
AB 0 · 1 + 4 · (- 1) + 1 · 2 0 · 1 + 4 · 0 + 1 · 3 -2 3
Таким образом, элемент cij, стоящий на пересечении г-ой строки и j -ro столбца, равен произведению г-й строки матрицы A и j -ro столбца матрицы B^'. Поэтому умнож;ить A иа B можно только в том случае, когда длина строк матрицы A совпадает с высотой столбцов матрицы B, т. е. "внутренние" размеры п в выраж;ениях m × п и п к должны оказаться равными. А размером произведения AB будет вы-раж;ение × к, равное произведению "внешних размеров" в выраж;ениях m × п я п × к.
| Пример 5. Пусть B = \ -1 0 \ я A = 4. Тогда |
11 10 23
1 · 3 + 1 · 1 BA =| - 1 · 1 + 0 - 1 · (- 2) + 0 · 4 - 1 · 3 + 0 · 1
|
|
|
23 + 3 1
^^Совсем аккуратно: элемент cj вычисляется но формуле cj = a 1 b1j + a j2 b 2 j + · · · + a j„ b
August 31, 2013 Курбатов В.Г. 6
Уже эти примеры показывают, что A ■ В = В ■ A.
Отметим равенства: A + 0 = 0 + A = A, A-A = 0,A-0 = 0-A = 0,
A-Е = Е-A = A.
Здесь Е — единичная, а О — нулевая матрицы соответствующих размеров. Отметим тоясдество:
(AВ) = В'A'.
Пример 6. Пусть для изготовления одного стула требуется 4 единицы древесины и 1 единица материи, а для изготовления одного кресла требуется 6 единиц древесины и 5 единиц материи. Преднолоясим, что мы хотим изготовить х стульев и у кресел. Тогда расход материалов описывается следующим произведением матриц
древесина
материя
46 15
1.3 Определители второго порядка
Определителем матрицы A = all all размера 2x2 называют число a 11 a 22 -a 12 a 215 обозначаемое символами
| a 11 a 12 a 21 a 22 |
∆, detA, \A\,
Это правило удобно представлять себе в виде рис. 1.
Рис. 1: Диаграмма для вычисления определителя 2-го порядка.
August 31, 2013 Курбатов В.Г.
21
Пример 7. Ьсли A = 4' то
∆
21 34
2 · 4 - 1 · 3 = 5.
Замечание 1. Определители первого порядка обычно не рассматривают. Удобно счи-татв, что определителв матрицв:, состоящей из одного числа (т. е. матрицв: размера 1x1), равен этому числу.
1.4 Определители третьего порядка
Определителем матрпцв! A размера 3x3 называют число, вычисляемое по правилу, изображенному на рис 2. Обозначение преяснее.
|
|
Рис. 2: Правило треугольника вычисления определителя 3-го порядка.
Можно указать и аналитическую формулу:
a 11 a 12 a 13 ∆ = detA= \A\ = a 21 a 22 a 23 =
a 31 a 32 a 33 = a 11 a 22 a 33 + a 12 a 23 a 31 + a 13 a 21 a 32 - (a 13 a 22 a 31 + a 12 a 21 a 33 + a 11 a 23 a 32).
Пример 8,
\A\ =
| - 2 | ||
| - 5 |
= 1 • 0 • 2 + (- 2) • 6 • 4 + 3 • (- 1) • (- 5) - (3-0-4 + 1-6-(- 5) + (- 2)-(- 1)-2) = = 0 - 48 + 15 - 0 + 30 - 4 = - 7.
|
|
|
Задача 1. Вычислите определители матриц
|
A =
| - 3 | ||
| - 2 | ||
| - |
B =
Ответ: \A\ = 0, \B\ = - 4.
August 31, 2013 Курбатов В.Г. 8
1.5 Свойства определителей
в этом параграфе обсуясдаются свойства определителей третьего порядка. Полезно уясе сейчас иметь в виду, что точно такие ясе свойства имеют место и для определителей любого порядка.
Свойство 1. При транспонировании матрицы ее определитель не меняется: \A'\ = \A\.
Свойство 2. Если поменять местами две строки {или два столбца), то определитель изменит знак на нротивонолож.ный, но но абсолютной величине не изменится.
Свойство 3. Определитель, имеющей две одинаковые строки (или два одинаковых столбца), равен нулю.
Свойство 4. Если строку (столбец) определителя умнож.ить на некоторое число, то определитель умиоукится на это число. Общий множ.итель из строки (столбца) МОЖ.НО выносить за знак определителя.
Свойство 5. Определитель, имеющий две пропорциопальпые строки (или столбца) равен нулю.
Свойство 6. Если определитель имеет нулевую строку (или столбец), то он равен нулю.
Свойство 7. Если определители ∆1 я ∆2 отличаются только k-ми строками (столбцами), то их сумма ∆1 + ∆2 равна определителю ∆, k-ая строка (столбец) которого является суммой k-х строк (столбцов) определителей ∆1 и ∆2, а остальные строки (столбцы) — такие ж:е как в определителях ∆1 и ∆2. Например, если k = 2, то
| a 11 | a12 + a12 | a 13 | a 11 | a 12 | a 13 | a 11 | a 12 | a 13 | ||
| a 21 | a22 + a 22 | a 23 | = | a21 | a 22 | a 23 | + | a21 | a 22 | a 23 |
| a 31 | a 3 2 + a 3 2 | a 33 | a31 | a 32 | a 33 | a31 | a 2 | a 33 |
Свойство 8. Определитель не изменится, если к какой-либо его строке (столбцу) прибавить другую строку (столбец), умнож:енную на число.
Обоснование:
a 11 a12 + a 11 a13
a21 a22 + a21 a23 a31 a32 + a31 a33
a 11 a 12 a 13 a 21 a 22 a 23 a 31 a 32 a 33
a 11 a 11 a 13 a 21 a 21 a 23 a 31 a 31 a 33
Свойство 9. Определитель треугольной матрицы равен произведению элементов, стоящих на главной диагонали.
Например,
= 3 • 5 • 7 .
Свойство 10. Определитель произведения двух матриц A и B равен произведению
определителей этих матриц: \AB\ = \A\ ■ \B\.
August 31, 2013 Курбатов В.Г. 9
1.6 Символ суммирования
Для сокращенного обозначения суммы нескольких однотипных слагаемых используют символ ^. Правила его использования аналогичны использованию оператора цикла DO в программировании.
Выраясение Y1 k 2 читают так: "сумма по k от 1 до 3 выраясепий k 2 ". Это выраясе- k =1 ние является сокращенной записью суммы 12 + 22 + 32.
Пример 9.
^А 1 = 1 1 1 1 ^ m 2 + 3 + 4 + 5,
m=2
Y,i2 = 32 + 42 + ··· + n 2,
i =3
n
cij = aikbkj.
k =1
1.7 Миноры и алгебраические дополнения
Вычеркнем из определителя i -ю строку и j -й столбец. В результате получим определитель меньшего порядка, который называют минором элемента aij и обозначают Mij. А величину
Aij = (- 1) i + j Mi
называют алгебраическим дополнением элемента aij.
1 - 3 - 1
| Пример 10. Если ∆ = |
2 3 6, то
4 0 - 2
| M = M = |
| 1 - 3 4 0 A 23 =(- 1)2+3 · M 23 3 - 1 3 6 A 31 =(- 1)3+1 · M |
= 0 + 12 = 12,
- 1 · 12 = - 12, = - 18 + 3 = - 15, 31 = 1 · (- 15) = - 15.
Свойство 11 (теорема Лапласа). Сумма произведений элементов aij произвольной строки {плп столбца) определителя на алгебраические донолнення Aij этих элементов равна определителю:
∆ = > aijAij, i = 1,2, 3,
^ —' j =1
j = 1,2,3.
∆= aijAij,
i =1
August 31, 2013 Курбатов В.Г.
Эти формулы называют правилами раскрытия (разлоснсения) определителя по строке (по столбцу).
Пример 11. Вычислим определитель, разлоясив его по первому столбцу:
| - 2 3 | |||||
| ∆ = | - 1 | 06 - 5 2 | = | ||
| 0 6 - 5 2 | - (- | 1) · | - 2 3 - 5 2 | + 4 · | - 2 3 0 6 |
= 1 ·
= 1 · (0 + 30) + 1 · (- 4 + 15) + 4 · (- 12 - 0) = = 30 + 11 - 48 = - 7.
1.8 Определители n -го порядка
в качестве определения определителя n -го порядка примем формулы из свойства 11
∆ = У aijAij, L —/ j =1
∆ =2. i aijAij,
i = 1, 2 ,..., n, j = 1, 2 ,..., n.
|
|
|
Эти формулы позволяют понизить порядок определителя, т. е. свести вычисление определителя n -го порядка к вычислению определителей (n - 1)-го порядка.
Пример 12. Вычислим определитель четвертого порядка, раскрывая его по первому столбцу:
| - 1 |
| 21 01 | = - 1 · |
2 1 1
| - 0 · | |
230 101 112
| - 2 1 | - 3 · | |
| = - 1 · (2 + 1 - 2 + 4)+ |
2 3 0 2 - 2 1 1 0 1
+6 · (- 8 - 3 - 2 - 12) - 3 · (- 4 + 3 - 6) =
= 5 150 + 21 = 134.
1.9 Метод элементарных преобразований вычисления определителя
Укажем еще один способ вычисления определителей n -го порядка. Напомним (§ 1.5) некоторые свойства определителей:
2) если переставить две строки (или два столбца), то определитель поменяет знак;
August 31, 2013 Курбатов В.Г.
4) если строку (столбец) умноясить на число, то и определитель умножится на это число; общий множитель из строки (столбца) мож;но выносить за знак определителя;
8) если к одной строке (или столбцу) прибавить другую, умноженную на число, то определитель пе изменится.
Перечисленные в этих свойствах преобразования называют элементарными. С помощью элементарных преобразований определитель приводят к треугольному виду, после чего он вычисляется с помощью свойства 9: определитель треугольной матрицы равен произведению элементов, стоящих на главной диагонали.
Пример 13. Вычислим определитель из предыдущего примера методом элементарных преобразований. ЭТАП 1: Сформируем сначала нули в первом столбце под диагональю. Для этого прибавим к третьей строке первую, умнож;епную па 6, а к четвертой — первую, умнож;епную па 3. В результате получим
| - 1 |
| - 2 1 | ||
| 18 1 | ||
| 10 2 |
ЭТАП 2: Сформируем нули во втором столбце под диагональю. Сначала поменяем местами 2-й и 4-й столбцы, после чего к третьей строке прибавим вторую, умпож;еппую на - 1, а к четвертой — вторую, умнож;еппую на - 2:
12 02 0 13 05
10 3 2
|
|
|
0 1 - 2 2
0 1 18 13
0 2 10 5
10 3 2
0 1 - 2 2
0 0 20 11
0 0 14 1
ЭТАП 3: Сформируем нули в третьем столбце под диагональю. К четвертой стро-
14 7
ке прибавим третью, умпож;еппую па - — = - 10-
| - 103 2 0 1 - 2 2 0 0 20 11 0 0 0 - 67 / 10 (- 1) · 1 · 20 · (- 67 / 10) = - 134. |
10 3 2
0 1 - 2 2
0 0 20 11
0 0 14 1
В конце мы воспользовались правилом вычисления определителя треугольной матрицы.
1.10 Ранг матрицы
Рассмотрим матрицу A размера m×n. Возьмем число k, меньшее или равное как m, так и n. Выделим в матрице любые k строк и k столбцов. Элементы, стоящие на пересечении этих строк и столбцов, образуют определитель k-то порядка. Его
August 31, 2013 Курбатов В.Г.
называют минором матрицы A порядка к. Очевидно, что мииоров порядка к, вообще говоря, много.
Рангом матрицы A называют наибольший порядок отличного от нуля минора этой матрицы. Иными словами, число г называют рангом ненулевой матрицы A, если: 1) у матрицы A есть ненулевой минор порядка г; 2) всякий минор порядка г + 1 и выше равен нулю. Ранг матрицы A обозначают символом rang A.
Ранг матрицы, состоящей из одних нулей, равен нулю.
Всякий ненулевой минор матрицы, порядок которого равен рангу, называют базисным минором. Строки и столбцы, на пересечении которых находится базисный минор, называют базисными строками и базисными столбцами. Замечание 2. Из определения ранга непосредственно следует, что если определитель квадратной матрицы A отличен от нуля, то rang A = п. Пример 14. Рассмотрим матрицу
3 4
- 1 2
2 6
Нетрудно проверить, что все ее миноры 3-го порядка равны пулю:
2 1 3
| 1 2 4 | |||
| = | 0 1 2 | = | |
| 1 3 6 |
= 0.
|
= 1 = 0.
А минор 2-го порядка
Поэтому rang A = 2. Напомним, что
1 2
0 1
1 3
1.11 Метод элементарных преобразований вычисления ранга
в § 1.9 уж;е отмечалось, что элементарные преобразования сохраняют свойство определителя быть отличным от пуля. Поэтому элементарные преобразования не меняют такж;е и ранг матрицы. Таким образом, метод элементарных преобразований моясет быть применен и к нахождению ранга. Это делается с помощью приводимой пиж;е теоремы.
Матрицу называют ступенчатой, если каждая ее строка начинается со строго большего числа нулей, чем предыдущая. Ненулевые элементы а^- ступенчатой матрицы A, левее которых стоят только нули (а также места, на которых они находятся), называют началами ступенек. Пример 15. Пример ступенчатой матрицы:
/8 10 3 1 5 \
0 6 4 - 20 - 3
0 0 0 0 4 - 2
0 0 0 0 0 0
August 31, 2013 Курбатов В.Г. 13
Теорема 1. Ранг ступенчатой матрицы равен числу ненулевых строк в ней.
Преобразовать матрицу к ступенчатому виду можно с помощью элементарных преобразовапий.
|
Задача 2. Найти ранг матрицы
A = Решение. Приведем матрицу к ступенчатому виду:
|
|
|
Получеппая матрица является ступенчатой: начала ступенек образовались на местах
элементов a 11 и a 22- В силу теоремы 1 получаем, что rang A = 2. П
1.12 Обратная матрица и ее нахож:дение методом присоединенной матрицы
Пусть A — квадратная матрица, а E — единичная матрица того ж;е размера. Матрицу B называют обратной к матрице A, если AB = EжBA = E. Обратную матрицу обозначают символом A- 1. Таким образом, · о определе · ю имеем
AA- 1 = A- 1 A = E.
1 2
Пример 16. Для A = 1 1 обратной является
| 1 / 3 1 / 3 1 2\ /1 / 3 - 2 / 3 |
A- 1=/1 / 3 - 2 / 3
Действительно,
1 1 1 / 3 1 / 3
1 · (1 / 3)+ 2 · (1 / 3) 1 · (- 2 / 3) + 2 · (1 / 3) 1 0
1 · (1 / 3) + 1 · (1 / 3) - 1 · (- 2 / 3) + 1 · (1/3) 0 1
Нетрудно такясе проверить, что и A-1 · A = E.
Теорема 2. Квадратная матрица A имеет обратную тогда и только тогда, когда ее определитель |A| отличен от пуля.
Доказательство. Если A имеет обратную, то E = A A-1, откуда по свойству 10 определителей имеем 1 = j E! = |A · A- 1 | = \А\ \А~1\, от · уда видно, что |A| = 0.
В качестве доказатель || в обратную || · | у | ишем алгоритм построения об
ратной матрицы для случая, когда |A| = 0. П
August 31, 2013 Курбатов В.Г. 14
Алгоритм построения обратной матрицы.
1. Вычисляем \A\. Если \A\ = 0, то ио доказанному A-1 не существует, и вычисления на этом заканчиваются. Если \A\ = 0, то переходим к этану 2.
2. Выписываем трапсиопированпую матрицу A.
3. Составляем матрицу A ˆ, состоящую из алгебраических дополнений элементов матрицы A. Матрицу A называют присоединенной к матрице A.
4. Выписываем ответ по формуле A- 1 = щA.
5. Делаем проверку: проверяем равенства A ■ A-1 = E я A-1 ■ A = E.
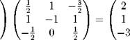
Пример 17. Найдем обратную к матрице
|
A
Решение. 1. Вычисляем \A\. Имеем \A\ = - 2. 2. Выписываем транспонированную матрицу:
|
A'
A' 3. Вычисляем ирисоединенную матрицу:
|
|
|
| I 1 3 1 1 I 1 3 I I11 11 |
A =
Сформулируем правило расстановки знаков в присоединенной матрице. Элементы, стоящие на главной диагонали, берутся со знаком "плюс", а остальные знаки расставляются в шахматном порядке. 4. Выписываем ответ:
|
|
A-1 =
|
|
5. Проверяем:
AA-1 =
1 1 3 - 1 2 0 1 2 0 0 1
Глава 2
Системы линейных уравнений
2.1 Основные понятия
Система из m линейных уравнений с n неизвестными имеет вид
a11x1 + a 12 x 2 + ... + a1nxn = b 1,
a21x1 + a 22 x 2 + ... + a2nxn = b 2,
(2.1)
am 1 x 1 + am 2 x 2 + ... + amnxn = bm.
Здесь через x 1, x 2,..., xn обозначены неизвестные числа. Величины aij и bi предполагаются известными; при этом aij называют коэффициент,ами, abi — свободными членами или правыми частями.
В случае, когда m = n, систему называют квадратной, а когда m = n, — прямоугольной.
Реиаением системы (2.1) называют такую совокупность n чисел α 1, α 2, ..., αn, которая ири подстановке их в систему вместо x 1, x 2, ..., xn превращает все уравнения в тождества.
Пример 18. Непосредственной подстановкой проверяется, что решением системы
x 1 + x2 = 3,
x 1 + 2 x 2 = 5
являются числа x 1 = 1 и x 2 = 2.
Если bi = 0 при всех i = 1, 2 ,..., m, то систему называют однородной. Если хотя бы один bi отличен от нуля, то систему называют неоднородной. Однородная система всегда имеет нулевое решение.
'a 1 1 x1 + a 12 x 2 + ... + a1nxn = 0,
a 21 x 1 + a 2 2 x 2 + ... + a2nxn = 0, an1x1 + an2x2 + ... + annxn = 0.
Если система имеет хотя бы одно решение, то ее называют совместной. Если же у системы нет решений, то — несовместной.
August 31, 2013 Курбатов В.Г.
Пример 19. Система
x 1 + x 2 = 3 ,
x 1 + x 2 = 5
несовместна, так как x1 + x2 не может одновременно равняться 3 и 5.
Если система имеет единственное решение, то ее называют определенной. Если у системы более одного решения, то — неопределенной. Нетрудно убедиться, что система из примера 18 имеет единственное решение, т. е. является определенной.
Пример 20. Система
x 1 + x2 = 3,
2 x 1 + 2 x 2 = 6
является неонределенной. Прямой подстановкой моясно убедиться, что ее решениями являются (1,2), (2,1), (3,0), ....
Матрицу
' a11 a12... a1n \
a 21 a 22... a 2 n A =
am 1 am 2 ... amn
называют матрицей (коэффициентов) системы. А
| a 11 a 21 |
D =
a 12 a 22
am 1 am 2
a 1 n a 2 n
| b | |
| b 2 | |
| bm |
— расширенной матрицей системы.
Пример 21. Пусть для изготовления одного стула требуется 4 единицы древесины и 1 единица материи, а для изготовления одного кресла требуется 6 единиц древесины и 5 единиц материи. Па складе имеется 106 единиц древесины и 51 единица материи. Какое количество x стульев и y кресел следует изготовить, чтобы полностью израсходовать материалы? Эта задача сводится к решению системы
4 x + 6 y =106, x + 5y = 51.
2.2 Метод Крамера
Рассмотрим квадратную систему из n уравнений с n неизвестными
' a 11 x 1 + a 12 x 2 + ... + a1nxn = b1, a 21 x 1 + a 2 2 x 2 + ... + a2nxn = b 2,
(2.2)
, an1x1 + an2x2 + ... + annxn = bn.
August 31, 2013 Курбатов В.Г.
Теорема 3. Для того чтобы квадратная система была определенной, т. е. имела единственное ретпенне, необходимо и достаточно, чтобы ∆ = \А\ у/^ 0. Если ∆ = |A| = 0, то ее едннственное ретпенне моукно вычислить но формул|
| (2.3) |
| xj= ∆ |
j = 1,2,...,n,
где ∆j — определитель, получаемый из ∆ заменой j-го столбца на столбец свободных членов.
Задача 3. Решить методом Крамера систему
2x + 3y = 9, 3 x - y = 8.
Решение. Для рассматриваемой системы
| ∆i =33 |
| ∆2 ∆ |
| ∆i |
| ∆ | = | 2 3 3 - 1 | = | - 11 , | ||
| 3 - 1 | = | - 33, | ∆2 | 2 9 3 8 |
| 1. |
| 3, y |
Отсюда x
∆ - 11 ∆ - 11
Задача 4. Решить систему методом Крамера
= 11.
x + y + z = 2,
2x + y + 4z = 5,
x + y + 3z = 6.
∆
| = 2 , |
| 6 , |
| 3, z |
| 3, y |
Решение. Имеем
∆ =
∆2 =
| ∆ |
Отсюда x
∆2
∆
∆з
∆
∆i =
∆
= 6 ,
Задача 5. При каких значениях λ система уравнений
|
не является онределеннои.^
August 31, 2013 Курбатов В.Г.
Решение. В силу теоремы 3 система ие является оиределеииой, если \A\ = 0. Вычисляем:
| 2 - λ. |
| \A\ |
1 λ
1 2
Из уравнения 2 — λ = 0, находим λ = 2. Значит, при λ = 2 система не является
определенной. П
2.3 Матричная запись
системы линейных уравнений
Запишем неизвестные и свободные члены в виде столбцов (матриц, размера n х 1 и m X 1, соответственно):
| b2 bm |
| a 1 n a 2 n |
| x1 x2 xn |
a 11 a 12 a 21 a 22
| A |
| B |
X
| n |
am1 am2...
Теорема 4. Система (2.1) эквивалентна равенству
A-X = B,
называемому матричной формой записи системы линейных уравнений. Доказательство. Вычисляем:
AX
a 11 a 12 a 21 a 22
a 1 n a 2 n
x 1 x 2
| xn |
| am1 am2... a 1 1x 1 + a 12 x 2 + ... + a 1 nxn \ b 1 b 2 |
| n |
| bm |
a21x 1 + a 22 x 2 + ... + a2nxn am 1 x1 + am2x2 + ... + amnxn
Таким образом, приходим к равенству
B.
a 11 x 1 + a 12 x 2 + ... + a 1 n xn a 21 x 1 + a 22 x 2 + ... + a 2 n xn
b 1 b 2
am1x 1 + am2x2 + ... + amnxn bm
В силу определения равенства матриц это равенство равносильно совпадению соот
ветствующих элементов, что и представляет собой систему (2.1). П
August 31, 2013 Курбатов В.Г.
2.4 Метод обратной матрицы
Рассмотрим квадратную систему из n уравнений с n неизвестными
' a 1 1 x 1 + a 12 x 2 + ... + a1nxn = b 1,
a 21 x 1 + a 2 2 x 2 + ... + a2nxn = b 2,
(2.4)
an1x1 + an 2 x 2 + ... + annxn = bn.
В соответствии с § 2.3, запишем систему в виде A- X = B.
Теорема 5. Пусть матрица A имеет обратную. Тогда решение уравнения A- X = B МОЖ.НО находить по формуле
X = A- 1 B.
Вычисление решения но этой формуле называют методом обратной матрицей.
Доказательство. Умножим обе части равенства
A- X = B на A- 1. Получим A-1 ■ A- X = A-1 ■ B, или (поскольку A-1 ■ A = E) E ■ X = A-1B или (поскольку E ■ X = X)
X = A- 1 B.
Пример 22. Рассмотрим систему
x + y + z =2,
2 x + y + 4 z = 5,
x + y +3 z = 6
или в матричной заниси

Из примера 17 известно, что
A- 1 =
Поэтому
|
|
|
|
Иными словами, x = —3, y = 3, z = 2.
August 31, 2013 Курбатов В.Г. 20
2.5 Матричные уравнения
Прием, описанный в § 2.4, позволяет решать и более слоясные матричные уравнения.
Задача 6. Решить матричное уравнение XA = B, где
|
|
Решение. Умножая уравнение XA = B справа на A- ^, получаем формулу XAA ^ BA-^ или X = BA-^, по которой можно находить решение. Вычисляем:
|
|
|
|
| 1 3 1 X = BA-^ = I 0 10 2 0 4 |
Задача 7. По какой формуле надо решать матричное уравнение AXB = F? Решение. Умножим уравнение слева на A-^ и справа на B-^. Получим
A- 1 AXBB- 1 = A- 1 FB- 1,
EXE = A- 1 FB- 1,
X = A- 1 FB- 1.
2.6 Метод Гаусса
Рассмотрим произвольную систему
a 11 x 1 + a 12 x 2 + ... + a 1 n xn = b 1, a 21 x 1 + a 22 x 2 + ... + a 2 n xn = b 2,
.........................................................
am 1 x 1 + am 2 x 2 + ... + amnxn = bm.
(2.5)
На этот раз не будем предполагать, что число уравнений m обязательно совпадает с числом неизвестных n.
Две системы линейных уравнений называют эквивалентными, если они имеют одно и то ж;е множество решений.
Элементарными преобразованиями системы линейных уравнений называют:
August 31, 2013 Курбатов В.Г.
1) перестановку двух уравнений местами;
2) умноясение уравнения на ненулевое число или сокращение на общий мнояси-
тель;
3) прибавление к одному уравнению другого, умноженного на некоторое число;
4) отбрасывание нулевых-*-) уравнений.
Ясно, что элементарные преобразования переводят систему в эквивалентную.
Элементарные преобразования системы аналогичны элементарным преобразованиям матриц,, поэтому для сокращения записи их обычно выполняют не с системой уравнений, а с ее расширенной матрицей
D =
a 21 a 22
a 1 n a 2 n
b 2 bm
Напомним, что матрицу называют ступенчатой, если каждая ее строка начинается со строго большего числа нулей, чем предыдущая. Первый ненулевой элемент в строке ступенчатой матрицы A называют началом ступеньки. Будем различать ступеньки короткие и длинные.
Пример 23. Ступенчатой является матритщ
/8 10 3 1 5 \
0 6 4 - 20 - 3
0 0 0 0 4 - 2
0 0 0 0 0 0
Метод Гаусса заключается в преобразовании расширенной матрицы D (или, что эквивалентно, системы уравнений) с помощью элементарных преобразований сначала к ступенчатому виду (эту часть метода Гаусса называют прямым ходом), а затем по возмож;ности — к диагональному виду (эту часть метода Гаусса называют обратным ходом). Возникающая в результате преобразований система уравнений легко решается. В промежутке меж;ду прямым и обратным ходом обсуж;дают вопрос о существовании и единственности решения. Уточним некоторые детали.
Меж;ду прямым и обратным ходом применяют два правила.
Правило 1. Если в последней строке расширенной матрицы, получившейся после окончания прямого хода, до черты есть ненулевые числа, система совместна; если же в последней (ненулевой) строке до черты нет ненулевых чисел, то система несовместна.
Действительно, если последняя ненулевая строка имеет вид
(0 0 ... 0 I b),
^^Нулевым называют уравнение, в котором все коэффициенты, а также свободный члены равны нулю: 0 · x 1 + 0 · x 2 + ... + 0 · x „ = 0.
August 31, 2013 Курбатов В.Г.
где br = 0, то решений нет (система несовместна), поскольку этой строке соответствует уравнение
0 x 1 + 0 x 2 + • • • + 0 xn = br,
удовлетворить которому невозможно. Если же последняя ненулевая строка имеет вид
(0 0 ... ark ar k +1 ... I br),
где ark = 0, то, как мы увидим, система совместна.
Если система оказалась совместной, то следует применить второе правило:^^ Правило 2. Если в расширенной матрице, получившейся после окоичапия прямого хода, все ступеньки короткие, то система является онределенной; если ж;е есть хотя бы одна длинная ступенька, то система является пеопределенпой.
Если система оказалась совместной, переходят к обратному ходу, используя элементарные преобразования, делают нули над началами ступенек, а числа, стоящие на началах ступенек, по возмож;ности превращают в +1. В результате возникает система, которая решается тривиальным образом.
Задача 8. Решить систему
| x 1 + 2 x 2 + 3 x 3 + 4 x | 4 = 5, | |
| x 2 + 2 x 3 + 3 x 4 = 1, | ||
| x 1 + 3 x 3 + 4 x 4 = 2, | ||
| x 1 + x 2 + 5 x 3 + 6 x 4 = 1. | ||
| /12 3 4 | 5\ | |
| D = | 0 12 3 10 3 4 | 1 2 |
| 1 156 | ||
| м С выписывания расши]; | ||
| 1 234 | ||
| D = | 0 12 3 10 3 4 | 1 2 |
| 1 156 |
После этого начинаем прямой ход. Его цель — сделать расширенную матрицу ступенчатой.
В качестве первого этапа прямого хода приводим к ступенчатому виду 1-ый столбец, а точнее — столбец, соответствующий началу первой ступеньки.
Для этого первые две строки переписываем без изменений (поскольку они удовлетворяют определению ступенчатой матрицы), к 3-ей строке прибавляем 1-ую, умноженную на - 1 (иными словами, из 3-ей строки вычитаем 1-ую), и к 4-ой строке прибавляем 1-ую, умпож;еппую на - 1:
| 1 234 | |||||
| 0 123 | |||||
| 10 3 4 | г-^ | - 2 0 0 | - 3 | ||
| 1 156 | - 1 2 2 | - 4 |
^^Его объяснению посвящен § 2.
August 31, 2013 Курбатов В.Г.
В качестве второго этапа прямого хода приводим к ступепчатому виду 2-ой столбец. Для этого первые две строки переписываем без измеиепий, к 3-ей строке прибавляем 2-ую, умпоясенную на 2, а к 4-ой строке прибавляем 2-ую, умпоженпую на 1:
| 1 2 34 | ||||
| 0 1 23 | ||||
| 0 - 200 | - 3 | 0 0 4 6 | - 1 | |
| 0 - 1 2 2 | -4 | - 3 |
В качестве третьего этапа прямого хода приводим к ступепчатому виду 3-ий столбец. Для этого первые три строки переписываем без изменений, а к 4-ой строке прибавляем 3-ую, умноясенную на - 1:
| 123 4 | 123 4 | |||
| 012 3 | 012 3 | |||
| 0 0 4 6 | - 1 | ∼ | 0 0 4 6 | - 1 |
| 004 5 | - 3 | 0 0 0 - 1 | - 2 |
Поскольку получилась ступенчатая матрица, прямой ход метода Гаусса закончен.
После окончания прямого хода применяем два правила, см. с. 21 п 22. Вывод 1: поскольку в последней строке до черты есть ненулевые числа, система является совместной. Вывод 2: поскольку все ступеньки являются короткими, система является определенной.
Переходим к обратному ходу, см. с. 22. Его цель — сформировать пули пад началами ступенек. Поскольку в нашем случае все ступеньки короткие, это означает, что надо сформировать до черты диагопальпую (а еще лучше — единичную) матрицу.
В качестве первого этапа обратного хода приводим к единичному виду 4-ый столбец. Для этого последнюю строку умножаем на - 1, 4-ую строку умнож;аем на - 6 и прибавляем к 3-ей, 4-ую строку умнож;аем на - 3 и прибавляем к 2-ой, 4-ую строку умнож;аем на - 4 и прибавляем к 1-ой:^)
| - 3 | ||||||||
| - 5 | ||||||||
| 0 0 4 | - 1 | ∼ | 0 0 4 6 | - 1 | ∼ | 0 0 4 0 | - 13 | |
| - 1 | -2 |
Па втором этапе обратного хода приводим к единичному виду 3-ий столбец. Для этого 4-ую строку оставляем без изменений, 3-ю строку умнож;аем на 1 / 4, 3-ю строку умнож;аем на - 2 и прибавляем к 2-ой, а 3-ю строку умножаем на - 3 и прибавляем к 1-ой:
| - 3 | ||
| - 5 | ||
| - 13 | ||
| - 3 | 27 / 4 | |||
| - 5 | 3 / 2 | |||
| 0 0 10 | - 13 / 4 | 0 0 10 | - 13 / 4 | |
^^Термины "прямой ход" и "обратный ход" объясняются следующим обстоятельством. При прямом ходе движение идет сверху вниз и слева направо: верхние строки прибавляют к нижним, и на каждом шаге столбец, в котором формируют пули, передвигается вправо. При обратном ходе движение происходит в обратную сторону.
August 31, 2013 Курбатов В.Г.
На третьем этапе обратного хода приводим к единичному виду 2-ой столбец. Для этого 2-ую, 3-ю и 4-ую строки оставляем без изменения, а 2-ую строку умножаем на - 2 и прибавляем к 1-ой:
| 27 / 4 | 15 / 4 | |||
| 3 / 2 | 3 / 2 | |||
| 0 0 10 | - 13 / 4 | 0 0 10 | - 13 / 4 | |
До черты образовалась единичная матрица. Поэтому обратный ход метода Гаусса закончен.
| x 1 x 2 x 3 x 4 |
Возвращаясь от полученной расширенной матрицы к системе уравнений, получаем
15 / 4,
3 / 2,
- 13 / 4,
2,
что фактически является ответом.
Правило. Если до черты получилась единичная матрица, то после черты находится решение.
2.7 Несовместная система
Задача 9. Решить систему
| x 1 + x 2 + x 3 | = 1, |
| x 1 + x 2 + 2 x 3 | = 1, |
| x 1 + x 2 + 3 x 3 | = 2. |
Решение. Выполним элементарные преобразования прямого хода:
|
Поскольку ступенчатая матрица получена, применяем два правила, см. с. 21 и 22.
Вывод 1: поскольку в последней строке до черты стоят только нули (а после черты
есть ненулевой элемент), система несовместна, т. е. не имеет решений. П
Вновь рассмотрим систему обш,его вида (2.5). Обозначим через A матрицу системы (2.5), а через D — расширенную матрицу.
Теорема 6 (Теорема Крбнекера-Капёлли). Если
ran gD > rang A, то система (2.5) несовместна, т. е. не имеет решений. Если же ran gD = rang A, то система (2.5) совместна, т. е. имеет решения.
August 31, 2013 Курбатов В.Г. 25
Пример 24. Вернемся к системе уравнений, рассмотренной в задаче 9. После преобразований мы получили расширенную матрицу
Видно, что rang D > rang A (см. теорему 1). Поэтому система несовместна.
Доказательство. Вернемся к ситуации, возникающей после окончания прямого хода метода Гаусса.
Если последняя ненулевая строка (имеющая для определенности номер r) матрицы D имеет вид
(0 0 ... 0 I br),
где br = 0, то решений нет (система несовместна). По в этом случае но теореме 1 rang D = r, а rang A = r — 1. Таким образом, rang D > rang A.
Если же последняя ненулевая строка (имеющая для определеппости номер r) матрицы D имеет вид
(0 0 ... ark ar k +1 ... I br ) ,
где ark = 0, то, как мы увидим ниясе, решения есть (система совместна). Но в этом случае но теореме 1 rang D = r и rang A = r. Таким образом, rang D = rang A. П
2.8 Неопределенная система
Обсудим подробнее второй возмоясный случай, возникший после окончания прямого хода метода Гаусса: имеются длинные ступеньки. Покаясем, что в этом случае система совместна, т. е. имеет решения но является неопределенной. Мы сделаем это путем предъявления алгоритма нахождения решения.
Неизвестные, соответствующие столбцам, на которых располож;ены начала ступенек, называют базисными, а остальные неизвестные — свободными. Вернемся от расширенной матрицы к системе уравнений. Свободные неизвестные обозначим произвольными буквами, например, C 1, C 2,...; это означает, что им позволяется принимать любые значения. Получится система относительно базисных неизвестных. Решая ее, получаем выраж;ения базисных неизвестных через C 1, C 2,....
Решение, в котором все C 1, C 2,...равны нулю, называют базисным.
Таким образом, в этом случае решений оказывается бесконечно много — при каждом новом выборе C 1, C 2, ... получается новое решение. Еще раз подчеркнем, что свободные неизвестные, а с ними и бесконечное множество решений появляются только в том случае, когда есть "длинные" ступеньки.
Задача 10. Решить систему
| x +2 y + z = | 1, |
| x + 2 y + 3 z = | 1, |
| x +2 y- z = | 1. |
August 31, 2013 Курбатов В.Г.
Решение. Преобразуем расширенную матрицу системы в соответствии с методом Гаусса. Прямой ход:
|
| - 2 |
Обратный ход:
121 001
120 001
Поскольку в последней ненулевой строке есть ненулевое число до черты, система совместна. По поскольку есть "длинная" ступенька, решений бесконечно много. В соответствии с видом полученной ступенчатой матрицы в качестве базисных неизвестных возьмем x и z, а в качестве свободной — y.
Обозначая свободную неизвестную y через C и перенося ее вправо, приходим к системе уравнений
|
x + 2 y
= 1, z = 0,
2 C,
относительно x и z.
По сути это уже готовый ответ: x = 1 — 2C, y = C, z = 0, где C — произвольное
число. Подчеркнем, что при различных C будут получаться разные решения. Так,
например, при C = 0 имеем x = 1, y = 1, z = 0. При C = 1 получаем x = —1, y = 1,
z = 0. А при C = 3 имеем x = —5, y = 3, z = 0. П
Задача 11. Решить систему
| x +2 y + z = | 1, |
| x +2 y + z = | 1, |
| 2 x + 4 y + 2 z = | 2. |
Решение. У этой системы матрицы A и D имеют одинаковые 1-ю и 2-ю строки, а 3-я строка пронорциональна 1-й. Поэтому после преобразований по методу Гаусса мы приходим к расширенной матрице, содерж;аш,ей единственную ненулевую строку
или, что эквивалентно, к единственному уравнению
x
2 y
1.
Очевидно, оно имеет бесконечно много решений. Чтобы их найти, в соответствии
с нашим правилом в качестве свободных неизвестных примем y и z, а в качестве
базисной — x. Положим y = C1, z = C2 я перенесем их в правую часть уравнения.
В результате получим x = 1 — 2C1 — C2. Таким образом, все решения задаются
формулами x = 1 — 2C1 — C2, y = C1, z = C2, где C 1 и C 2 — произвольные числа.
Отметим базисное решение: x = 1, y = 0, z = 0. П
August 31, 2013 Курбатов В.Г.
2.9 Система линейных однородных уравнений
Система линейных однородных уравнений
'a 1 1 x 1 + a 12 x 2 + ... + a1nxn = 0,
a 21 x 1 + a 2 2 x 2 + ... + a2nxn = 0,
(2.6)
всегда имеет нулевое решение x 1 = 0, x 2 = 0,..., xn = 0, называемое тривиальным.
Теорема 7. Однородная система имеет ненулевое решение тогда и толвко тогда, когда ранг ее матрнтщ строго менвгие сила неизвестных: rang A < n.
Если в системе уравнения линейно независимы, то условие rang A < n означает, что число уравнений строго меньше числа неизвестных.
Теорема 8. Если x = (x1,x2,...,xn) — решение однородной системы, то αx = (αx1,αx2,..., αxn) — такуке решение.
Если x = (x 1, x 2 ,..., xn) и y = (y 1, y 2 ,..., yn) — рсшсния однородной системы, то их сумма x + y = (x1 + y1, x2 + y2,..., xn + yn) ~ такуке решение.
Линейная комбинация решений — снова решение.
Набор решений e 1, e 2,..., ek однородной системы называют фундаментальной системой решений, если 1) они линейно независимы и 2) любое решение является их линейной комбинацией. Поэтому общее реиаение системы (2.6) имеет вид
C 1 e 1 + C 2 e 2
Ckek.
Теорема 9. Всякая фундаменталвная систем






