Принципы рефрактометрии; молекулярная рефракция, формула Лорентц - Лоренца.
Рефрактометрия – это оптический метод, основанный на определении параметров вещества по показателю преломления.:
.
Ввиду того, что показатель преломления воздуха мало отличается от единицы, при исследованиях атмосферных явлений часто используется величина (n – 1), называемая индексом рефракции.
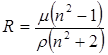
В научных исследованиях распространен параметр, называемый коэффициентом молекулярной рефракции (R). Коэффициент молекулярной рефракции для газов или разбавленных растворов определяется из формулы Лорентц – Лоренца:
,
где R – коэффициент молекулярной рефракции; μ – молекулярная масса вещества; ρ – плотность вещества; n – показатель преломления.
Свойства молекулярной рефракции R:
1. R зависит от природы вещества
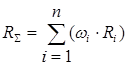
2. R величина аддитивная:
,
где Ri – молекулярные рефракции каждого из веществ, входящих в смесь, содержащую n компонент, ωi – молярные доли веществ в растворе.
Рассмотрим метод анализа структуры вещества по коэффициенту рефракции. В исследовательской практике распространен анализ структуры вещества по алгоритмам, опирающимся на аддитивность коэффициента рефракции.
Ввиду большого числа переменных параметров этот вид анализа проводится на вычислительной технике, входящий в состав измерительного прибора.
Оптическим параметром, определяющим величину рефракции, является показатель преломления. Этот параметр определяет направление оптического луча, которое, в большинстве случаев, определяется одним из двух основных способов.
Способы определения направления луча:
1) прямой – регистрация положения луча в измерительной плоскости
2) компенсационный – вводится специальный элемент, меняющий направление луча
1. Гониометрический метод основан на определении угла преломления путем регистрации направления преломленного луча. Измерение углов осуществляется гониометром, откуда и вытекает название метода.
Пример хода лучей при реализации данного метода представлен схемой
1 – источник света; 2- оптика;
3 – входная диафрагма;
4 – измерительная кювета;
5 – устройство для измерения угла преломления.
Искомый показатель преломления nX может быть определен исходя из угла преломления α2, который измеряется гониометром, и угла α1, определяемого геометрическими параметрами кюветы.
.
2. Метод, основанный на регистрации угла Брюстера. Плоскость поляризации отраженного под углом Брюстера луча перпендикулярна плоскости падения (ТЕ-поляризация). Физически явление связано с особенностями пространственной ориентации диполей сред и рассматривается в курсе общей физики. Данный метод относится к комбинированным: в состав прибора входят поляризационные элементы.

3. Метод, основанный на регистрации угла полного внутреннего отражения. Измерения проводятся по контрасту освещения экрана отраженным лучом. Схема измерения показана на рис.

Контраст обнаруживается при α = α(0). Это дает возможность определять показатель преломления объекта относительно эталона:
nХ = nЭТ sin α(0).

4. Интерференционные методы. Основаны на связи оптической разности хода ∆L с показателями преломления веществ n1 и n2. По оптической разности хода определяется искомый показатель преломления.

Оптическая разность хода:
∆L= l ∙n1- l ∙n2
Разность фаз:
,
Откуда следует







