Классические интерферометры в научных исследованиях
Схема интерферометра Майкельсона включает: 1 – источник когерентного излучения; 2 – оптическая система, формирующая параллельный пучок; 3 – полупрозрачное зеркало; 4,5 – отражающие зеркала; 6 – образец; 7 – приемник излучения; 8 – схема обработки сигнала.












4
![]() | ![]() | ||
L/2 оп 6 5




1 2 3 Lu/2
L/2
![]() | |||
![]() |
При определени разности хода необходимо учитывать двукратное прохождение луча через образец длиной ∆Х/2.
|
Классическая схема интерферометра Маха - Цендера содержит
1 – источник излучения, 2 и 6 – полупрозрачные пластины; 3 и 4 – зеркала, 5 – образец, 7 – фотоприемник.
Принцип действия приборов идентичен рассмотренным ранее:

Интерференционные приборы измеряют:
d. Механические воздействия. Известно, что механическое напряжение влияет на показатель преломления:
n = f(p), где р – механическое напряжение, связанное с давлением.
e. Электрические воздействия. Электрооптический эффект связан с зависимостью показателя преломления величины внешнего поля Eвнеш:
n = f (Eвнеш.)
f. Магнитные воздействия - магнитооптический эффект.
n = f (B).
Уравнение поляризованной электромагнитной волны:

где
– единичный вектор, который называется вектором поляризации.
Эллиптически поляризованное излучение. 


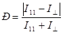
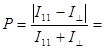
Частично поляризованное излучение. Р – степень поляризации.


Классификация поляризационных методов научных исследований.
1. Явление плеохроизма - зависимость показателя поглощения α от направления поляризации света относительно оптической оси кристалла.
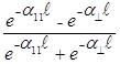
Явление дихроизма - частный случай плеохроизма. Например, для кристалла турмалина при длине волны 0,5 мкм: α ║ = 103м-1, α ┴ = 104 м-1
Степень поляризации излучения, прошедшего через пластинку турмалина толщиной l определяется законом Бугера, соглсно которому: I║ = I0*e -α║ℓ, I┴= I0*e -α┴ℓ.
Учитывая это, получаем:












