Расчета количества укороченных рельсов
Определение укорочения на протяжении круговой кривой
Для чего необходимо укладывать укороченные рельсы во внутренней нити кривой
Укороченные рельсы по внутренней нити кривой укладывают для установления рельсовых стыков обеих рельсовых нитей по наугольнику.
Внутренняя рельсовая нить в кривой короче наружной, так как ее радиус меньше радиуса наружной нити на расстоянии S1 между осями нитей. При укладке на внутренней нити кривой рельсов такой же длины, как и наружной, стыки внутренней нити будут забегать вперед относительно стыков наружной нити.
Определение укорочения на протяжении круговой кривой:
Екк=πS1 а /180
Таким образом, общее укорочение внутренней нити кривой по сравнению с наружной зависит от расстояния между осями рельсов S1 и угла поворота а и не зависит от радиуса. При одном и том же угле поворота одна кривая имеет больше радиус чем другая.
Чтобы каждый стык на внутренней нити в пределах кривой расположить по наугольнику против соответствующего стыка наружной нити, нужно применять в различных кривых разное укорочение каждого рельса, но не целесообразно.
|
|
|
Принято 4 типа укорочения рельсов:
Для рельсов длиной 12,5 м:
К1=40мм
К2=80мм
К3=120мм
Для рельсов длиной 25 м:
К2=80 мм
К4=160мм
Для расчета количества укороченных рельсов используется формула:
Nу=Eобщ/К
Еобщ=Екк+2Епк
Епк=S1lпк/2с
Екк=S1lкк/R
lкк=πR/180(β-2φ0)
φ0(для пк)=lпк2/2с
φ0(для кк)=lкк/R
Еобщ=S1(lпк/с-lкк/R)
с=lпкR
Nст.=L/lст.
Длина круговой кривой

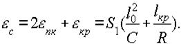
Суммарное укорочение на двух переходных кривых и на одной круговой кривой

Обычно применяется следующий порядок расчета и размещения укороченных рельсов на кривой: устанавливают положение первого стыка относительно начала N=(2lО+lкр)/lст (где lст - длина стандартного рельса); определяют суммарное укорочение εc и число укороченных рельсов, укладываемых в кривую; составляют таблицу для определения порядка укладки укороченных рельсов.
Забег (отставание) стыков внутренней нити относительно наружной
Зi= Зi-1+ε - k,
где Зi - забег в рассматриваемом стыке;
Зi-1 - забег в предыдущем стыке со знаком плюс или минус;
ε - расчетное укорочение рельса или части его на рассматриваемом элементе пути;
k - стандартное укорочение рельса, принятое для расчета и укладки.
Если сумма Зi-1+ε не превышает половины стандартного укорочения, то укладывают нормальный рельс. При сумме Зi-1+ε более половины стандартного укорочения укладывают укороченный рельс.







