Цифровые фазометры с промежуточным преобразованием фазового сдвига в постоянное напряжение

Классификация фазометров.

Цифровые фазометры.

Способы расширения частотного диапазона при измерении разности фаз.

1 способ. Он используется при малых фазовых сдвигах. Исходную частоту умножают в n-раз. Это приводит к увеличению фазового сдвига также в n-раз. При измерении фазометром мы измеряем фазовый сдвиг больше исходного в n-раз при неизменной погрешности его измерения. Исходный фазовый сдвиг получим делением полученного результата в n-раз. Погрешность определения фазового сдвига при этом также уменьшится в n-раз.

2 способ. Он используется на высоких и сверхвысоких частотах. Частоты измеряемых сигналов понижают на основе гетеродинного преобразования. Гетеродинное преобразование частоты позволяет понижать частоту исследуемого напряжения с сохранением прежнего фазового сдвига. Это позволяет использовать более точные низкочастотные фазометры, чем и повышается точность измерения. При таком преобразование точность измерения равна 1÷2 %.

F1 – приборы для поверки средств измерения фазового сдвига. F2 – измерители разности фаз (фазометры). F4 – измерители группового времени запаздывания. F5 – импульсные фазометры.

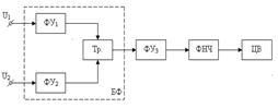
Структурная схема. Работа схемы. Напряжения U1 и U2, сдвиг фаз между которыми должен быть измерен, поступают на входы формирующих устройств (ФУ). Формирующие устройства из приходящих сигналов вырабатывают прямоугольные импульсы, фронты которых совпадают с моментами перехода исследуемых напряжений через 0. По приходу первого импульса триггер (Тр) переводится из состояния 0 в положение 1. При приходе второго импульса триггер возвращается в исходное состояние. Изменение состояния триггера привязано к переднему фронту импульса. На выходе триггера возникают импульсы, длительность которых пропорциональна разности фаз. Формирующее устройство 3 (ФУ3) стабилизирует размах импульсного напряжения, снимаемого с выхода триггера. Фильтр нижних частот (ФНЧ) выделяет постоянную составляющую из приходящих импульсов. Цифровой вольтметр (ЦВ) измеряет величину постоянного напряжения на своем входе. Данные значения напряжения пропорциональны сдвигу фаз. Цифровой вольтметр градуируется непосредственно в единицах фазы.

Погрешность цифрового фазометра имеет три составляющие:

1) Погрешность преобразования фазового сдвига во временной интервал .

2) Погрешность преобразования временного интервала в постоянное напряжение .

3) Погрешность цифрового вольтметра.





Подборка статей по вашей теме: