Результаты балансового расчета по элементам утилизационной системы
Таблица 3.3
| Элемент утилизационной системы | Переданное количество теплоты, кВт | Воспринятая теплота, кВт | Потери теплоты, кВт | Переданная эк-сергия, кВт | Воспринятая эксергия, кВт | Потери эксергии, кВт | Тепловой КПД, % | Эксергетический КПД, % |
| 12 | 78,9 | |||||||
| 14 | 89,7 | |||||||
| 13 | 86,1 | |||||||
| 15 | 66,4 | |||||||
| 16 | 72,1 | |||||||
| 17 | 86,8 | |||||||
| 6 | 47,4 | |||||||
| 7 | 11 775 | |||||||
| 8 | 69,5 | |||||||
| 1 | 99,9 | 97,6 | ||||||
| 91,5 | ||||||||
| 4 | 86,4 | |||||||
| 20 | 98,1 | 75,2 | ||||||
| 19 | 84,1 | |||||||
| 18 | 84,1 | |||||||
| 3а | 21 468 | 97,4 | 52,7 | |||||
| Итого | 97,53 | 78,45 |
Таблица 3.4
| Поток | Подведенная теплота, кВт | Подведенная эксергия, кВт | Поток | Отведенная теплота, кВт | Отведенная эксергия, кВт |
| Дымовые газы в элемент 6 | Дымовые газы из элемента 6 | ||||
| Дымовые газы в элемент 7 | Дымовые газы из элемента 7 | ||||
| Парогазовая смесь в элемент 8 | 142 073 | Парогазовая смесь из элемента 8 | |||
| Конденсат контактного газа в элемент 13 | Конденсат контактного газа из элемента 13 | ||||
| Конденсат контактного газа в элемент 14 | 68 116 | Конденсат контактного газа из элемента 14 | |||
| Вода в элемент 2 | Конденсат контактного газа из элемента 15 | ||||
| Оборотная вода в элемент За | Конденсат контактного газа из элемента 16 | ||||
| Изоамиленовая фракция в элемент 20 | Вода из элемента 2 | ||||
| Вода в элемент 19 | Оборотная вода из элемента За | 69 177 | |||
| Питательная вода циркуляционной системы | Изоамиленовая фракция из элемента 20 | ||||
| Паровой конденсат со станции испарения | Питательная вода для КУ | ||||
| Конденсат контактного газа в элемент 12 | Вторичный пар | ||||
| Захоложенная вода в элементе За | 22 152 | Вода из элемента 19 | |||
| — | — | — | Конденсат контактного газа из элемента 12 | ||
| — | — | — | Захоложенная вода из элемента За | ||
| — | — | — | Подпиточная вода после элементов 16 и 75 | ||
| Итого | 568 182 | Итого | 561 984 | ||
| Тепловой КПД, % | |||||
| Эксергетический КПД, % |
|
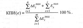
Эксергетический КПИ
(3.11)
Здесь ΔQiпол и ΔЕiпол — полезное, в соответствии с назначением системы, изменение теплоты и эксергии потока в i-м элементе схемы, кВт; ΔQiпод и ΔЕiпод — убыль теплоты и эксергии греющего потока в i-м элементе схемы; ΔQsпол и ΔЕsпол— теплота и эксергия потока 5, появившегося в результате реализации энергосберегающего мероприятия (например, теплота и эксергия потока пара вторичного вскипания).

Рис. 3.8. диаграммы потоков теплоты (а) и эксергии (б) утилизационной системы
Необходимо отметить, что изменения теплоты и эксергии потоков в элементах схемы не включаются как в полезный эффект, так и в затраты, если элементы, в которых происходит изменение, являются промежуточными звеньями между элементами—источниками ВЭР и элементами—потребителями. Промежуточные звенья в данном случае считаются дополнительными «сопротивлениями». Это не относится к элементам утилизационной системы, изменяющим значения количества теплоты и эксергии потоков, направляемых непосредственно на технологию или непосредственно в системы отопления и горячего водоснабжения. Например, на рис. 3.5 промежуточными являются все элементы, кроме 1, 2, За, 20.
Коэффициент полезного использования эксергии (табл. 3.5) в утилизационной системе составляет 35%, коэффициент полезного использования эксергии — 59%. Это связано с тем, что не учитывалось полезное использование теплоты и эксергии потока воды температурой 70 °С после теплообменника 19. В действительности КПИ утилизационной системы будут значительно выше, так как на производстве всегда имеются нагрузки для предварительного подогрева технологических потоков, горячее водоснабжение и отопление.
В результате проведения предлагаемых энергосберегающих мероприятий, главной целью которых было улучшить использование ВЭР, тепловой коэффициент полезного действия стадии дегидрирования изоамиленов увеличился на 1,19 % и составил 93,34 %. Эксергетический коэффициент полезного действия увеличился на 7,31 % и составил 56,17 %.






