Закон Ома:
I=U/R,
т.е. ток I, протекающий по участку цепи, будет равен напряжению на этом участке U ( или разности потенциалов на концах рассматриваемого участка с учетом знака) деленному на сопротивление участка R. Закон можно записать и как U=I×R. Найденную из этого равенства величину U называют падением напряжения на участке цепи с сопротивлением R, через который протекает ток I.
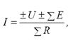
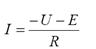
В общем случае (при наличии источников ЭДС)

например, для участка цепи

.
Для получения данного выражения можно использовать либо соотношения между потенциалами отдельных точек участка, либо второй закон Кирхгофа (см. далее).
Закон Джоуля-Ленца:
W = I2×R×t,
т.е. работа илиэнергия электрического тока W, преобразуемая в тепловую энергию за время t,рассчитывается по приведенной формуле. С учетом закона Ома можно записать
W =I×U×t.
По определению мощность это работа в единицу времени (т.е. деленная на t). Тогда мощность электрического тока:
P= I2×R = U×I.






