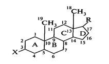
Строение
Стероиды имеют полициклическое строение, в основе лежит скелет гоннана


Общая формула стероидов
1.Сочленение колец В и С всегда – транс.
Сочленение колец С и D почти всегда – транс.
Сочленение колец А и В как –транс так и –цис.


2. Конфигурации заместителей называется a, если заместитель лежит под плоскостью кольца и b, если заместитель – над плоскостью кольца.

Классификация стероидов (по таблице РС стероидов)
Родоначальная структура
1. Андростан - у гоннана при С17 отсутствует углеводородный радикал. РС мужских половых гормонов (андрогенов).
2. Эстран - у гоннана при С17 и С13 отсутствуют углеводородные радикалы. РС женских половых гормонов (эстрогенов).
3. Прегнан – у гоннана при С17 радикал –СН2-СН3. РС женских половых гормонов (гестагенов) и гормонов коры надпочечников (кортикоидов).
4.
Холан - у гоннана при С17 радикал – СН-СН2–СН2-СН3
СН3
РС желчных кислот.

5. Холестан - у гоннана при С17 радикал –СН-(СН2)3–СН-СН3
СН3 СН3
Таблица. «Родоначальные структуры стероидов»
|
|
|
| Группа стероидов | Родоначальная структура | Заместители в ядре гонана | ||
| С-10 | С-13 | С-17 | ||
| Эстрогенные гормоны | эстран | - | СН3 | - |
| Андрогенные гормоны | андростан | СН3 | СН3 | - |
| Кортикостероиды, Гестагенные гормоны | прегнан | СН3 | СН3 | -СН2-СН3 |
| Желчные кислоты | холан | СН3 | СН3 |
|
| Стерины | холестан | СН3 | СН3 | -СН-СН3 │ (СН2)3-СН(СН3)2 |
| Агликоны сердечных гликозидов (карденолиды) | карден-20(22)-олид | СН3 | СН3 | γ-лактонное кольцо
(неуглеводородный
заместитель)
|






