Политропное сжатие, как и адиабатное, сопровождается повышением температуры, что видно из формулы
(3.1)
и наглядно представлено в Ts – диаграмме (рис. 3.5). Этим устанавливается предел повышения давления, поскольку при больших степенях сжатия конечная температура получается недопустимо высокой.
Поэтому при необходимости получения высокого давления компрессоры

Рис. 3.5 Рис. 3.6
выполняются многоступенчатыми, причем после каждой ступени рабочее тело поступает в холодильник, где охлаждается при постоянном давлении до исходной температуры.
Из pv – диаграммы, в которой в качестве примера изображен рабочий процесс трехступенчатого компрессора (рис. 3.6), отчетливо видно, что промежуточное охлаждение рабочего тела существенно уменьшает затрату технической работы (пл. 1- 2 -3 -2 -3 -2 -4-5-1 < пл. 1-2-4-5-1) и приближает процесс сжатия к изотермическому (линия 1-3 -3 -3 ). Последний вывод можно сделать и из Ts – диаграммы этого процесса (рис. 3.7), поскольку с увеличением числа ступеней изотермы T1 и T2 сближаются и в пределе сливаются в одну горизонтальную линию.

Рис. 3.7
Задача наиболее рационального распределения перепада давлений между отдельными ступенями решается исходя из условия минимальной затраты технической работы на весь процесс в целом, которое приводит к соотношению (3.2)
, (3.2)
где
и
- давление соответственно перед каждой ступенью компрессора за ней; р1 и р2 – давление соответственно перед компрессором и за ним; m – число ступеней.
Таким образом, степень повышения давления у всех ступеней компрессора должна быть одинаковой.
Как было отмечено выше, компрессоры конструктивно подразделяются на объемные и центробежные. Однако, несмотря на различие между ними, термодинамика процессов, протекающая в обеих группах компрессоров одинакова.
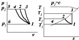
В общем случае в идеальном компрессоре (в котором отсутствуют: силы трения в клапанах, утечки, а сжатый воздух весь выталкивается из рабочих цилиндров) происходит политропно. На pv - и Ts - диаграммах процесс политропного сжатия рабочего тела изображен линией 1 – 2 (рис. 3.8).
Работа, совершаемая внешними силами на сжатие газа, называется технической работой компрессора, и определяется зависимостью
. (3.3)
![]() |
Рис. 3.8
Политропный процесс сжатия характеризуется показателем политропы, значение которого может меняться в пределах 1≤n≤k. Крайним случаям указанного диапазона 1≤n≤k соответствуют:
а) n=1 - изотермическое сжатие;
б) n=k - адиабатное сжатие.
Эти процессы на pv- и Ts- диаграммах представлены соответственно линиями 1 - 4 и 1 – 3 (см. рис. 3.8).
Техническая удельная работа компрессора:
а) при изотермическом сжатии, численно равна площади фигуры f1=(1-4-5-6-1) и определяется по формуле
, (3.4)
б) при адиабатном сжатии она равна площади фигуры f2=(1-3-5-6-1) и определяется по формуле
. (3.5)
При политропном сжатии эта работа численно равна площади фигуры f3=(1-2-5-6-1) и вычисляется в соответствии с формулой
, (3.6)
где Rг - газовая постоянная сжимаемого рабочего тела; p1, Т1, - начальные параметры; p2 - конечное давление.







