1. Мозговой слой
А) Адреналин (гормон) образуются из аминокислоты тирозина.
В) Норадреналин (нейромедиатор).

Это гормоны стресса. Их действие близко.
МЕХАНИЗМ ДЕЙСТВИЯ.
Клетки мишени: клетки печени, скелетных мышц, сердца, слюнных желез, матки.
Рецепторы находятся на поверхности мембран. Посредником является ЦАМФ, которая
активизирует протеинкиназу.

ВЛИЯНИЕ НА МЕТАБОЛИЗМ.
1. Повышает уровень глюкозы в крови.
2. Адреналин действует не только на печень, но и на мышцы, где из глюкозы образуется молочная кислота.
3. Усиливают липолиз.
4. Повышается содержание не этерефицированных жирных кислот.
5. Повышает АД, частоту сердечных сокращений и т.д.
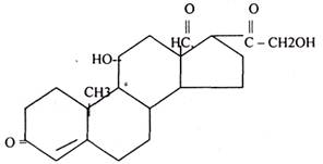
2. Корковый слой (более 30 стероидов)
1. ГЛЮКОКОРТИКОИДЫ (кортикостерон, кортизол, кортизон).

В организме человека наибольшую роль играет кортизол - производное ЦИКЛОПЕНТАНПЕРГИДРОФЕНАНТРЕНА
2. МИНЕРАЛОКОРТИКОИДЫ (альдостерон).

МЕХАНИЗМ ДЕЙСТВИЯ.
Механизм действия цитозольный (проникают через мембрану). Рецепторы находятся внутри клетки. Действуют по принципу гормон ® ген ® белок. В печени, почках усиливают синтез белков; в лимфатической ткани, соединительной ткани, скелетных мышцах - тормозят синтез белка.
|
|
|
ВЛИЯНИЕ НА МЕТАБОЛИЗМ.
1. Глюкокортикоиды:
- повышают глюконеогенез,
- повышают синтез гликогена,
- усиливают липолиз,
- усиливают образование кетоновых тел,
- понижают синтез антител, следовательно, противовоспалительное противоаллергическое действие.
2. Минералокортикоиды:
- повышают транспорт натрия через мембрану,
- задерживают натрий, хлор в организме,
- понижают содержание калия в организме.
Недостаточность гормонов коры ведёт к АДДИСОНОВОЙ болезни:
- пигментация кожи,
- ГИПЕРКАЛИЕМИЯ,
- ГИПОТОНИЯ,
- Понижение резистентности к стрессовым воздействиям.
1. ПОНЯТИЕ О ВИТАМИНАХ, КЛАССИФИКАЦИЯ.
2. ПОНЯТИЕ ОБ АВИТАМИНОЗАХ, ГИПО- И ГИПЕРВИТАМИНОЗАХ.
3. ЖИРОРАСТВОРИМЫЕ ВИТАМИНЫ A, D.
Возникновение научной витаминологии относят к 19 в. Французский патолог МАЖАНДИ впервые установил, что для обеспечения нормального роста молодых животных недостаточно только основных поддерживающих жизнь веществ. Русский врач ЛУНИН в эксперименте на животных установил, что животные, которых кормили казеином, жирами, лактозой, водой и минеральными солями болели и погибали, в отличие от животных, получавших свежее молоко.
В 1911г. учёный ФУНД выделил и кристаллизовал азотсодержащее вещество, которое вылечивало экспериментальную бери-бери. Это вещество он назвал ВИТАМИНОМ (амином жизни).
Витамины - это низкомолекулярные органические соединения различного строения, синтез которых в организме отсутствует или ограничен. Особенности витаминов:
|
|
|
1. не синтезируются в организме или синтезируются в недостаточном количестве;
2. не выполняют пластической функции, т.е. не являются структурным компонентом клеток;
3. не выполняют энергетической функции;
4. выполняют специфические функции, которые не могут быть восполнены другими
соединениями, т.е. это вещества, которые функционально нельзя ничем заменить;
5. при дефиците витаминов в организме развивается патологическое состояние с характерными
клиническими признаками;
6. витамины - это метаболиты, суточная потребность в которых выражается в миллиграммах,
микрограммах или международных единицах (ME).
КЛАССИФИКАЦИЯ ВИТАМИНОВ.
В зависимости от растворимости витамины делятся на жирорастворимые (A, D, E, К) и водорастворимые (РР, С, В1, В2, ВЗ, В6, В10, В12, Н)/ Витамин подобные вещества: инозит, парааминобензойная кислота, холин, липолевая кислота.
НОМЕНКЛАТУРА: Каждый витамин имеет:
1. буквенное название: аскорбиновая кислота - вит.С; ретинол - вит.А.
2. химическое название: вит.В1 -тиамин.
3. Клиническое название, которое формируется из клинической картины патологического
состояния, которое развивается при дефиците витамина в организме с приставкой «анти»:
Вит.D - антирахитический;
Вит.С - антискорбутный (скорбут- цинга).
ФУНКЦИИ ВИТАМИНОВ В ОРГАНИЗМЕ.
1. Выделяют группу энзимовитаминов - это предшественники коэнзимов или простетических
групп ферментов:
Функциональное производное вит.РР: НАД и НАДФ. Функциональное производное вит.В2: ФМН и ФАД.
2. Гормоновитамины или предшественники гормонов: последовательная активация вит.DЗ
приводит к образованию кальцитриола.
3. Редоксвитамнны или витамины- антиоксиданты - это вещества, которые препятствуют
развитию процессов свободно-радикального окисления. Это природные оксиданты: Е, С, А.
4. Участвуют в синтезе медиаторов (вит.С - серотонин), стероидных гормонов.
АВИТАМИНОЗ - это патологическое состояние, которое развивается в результате отсутствия
витаминов организме, характеризуется чёткой клинической симптоматикой.
ГИПОВИТАМИНОЗ - патологическое состояние, связанное с недостатком витаминов в организме. В зависимости от причины гиповитаминоз может быть:
1. Первичный (ЭКЗОГЕННЫЙ), связанный с дефицитом витаминов в употребляемой пище.
2. Вторичный, связанный с причинами эндогенного характера:
нарушение всасывания витаминов в ЖКТ;
недостаточный синтез витаминов микрофлорой кишечника (вит.В и вит.К), например,
при дисбактериозе; наличие паразитарной инвазии (особенно в детстве), которые используют питательные вещества человека;
поступление в пищу пищевых или лекарственных антивитаминов, которые препятствуют активации и всасыванию витаминов; нарушение активации при усвоении витаминов в организме при патологии печени и почек; повышенные потери витаминов; относительная недостаточность из-за повышенной нагрузке, беременности, кормлении грудью и другие состояния, требующие повышенного количества витаминов. Гиповитаминозам способствуют:
1. высококалорийное питание,
2. преобладание консервированных продуктов в рационе, рафинированных или
высокоочищенных продуктов,
3. малое движение (ГИПОДИНАМИЯ).
Состояние недостаточной витаминной обеспеченности патологии и симптомов гиповитаминоза нет, но недостаток в витамине уже проявляется. Характеризуется следующими признаками: сонливость, утомляемость, понижение работоспособности, повышение заболеваемости, слабость. Это свидетельствует о том, что следует употреблять комплексы витаминов (не менее 8-9 витаминов в комплексе).
ЖИРОРАСТВОРИМЫЕ ВИТАМИНЫ.
Витамин А (ретинол, антиксерофтальмический).
В эту группу включаются и его производные: РЕТИНАЛЬ, РЕТИНОЕВАЯ КИСЛОТА и предшественники - альфа, бета, гамма -КАРОТИНЫ. Химическая структура РЕТИНОЛА:
|
|
|
РЕТИНОЛ всасывается в тонком кишечнике вместе с эмульсией жиров и ненасыщенных жирных кислот. При недостаточном выделении желчи всасывание его будет нарушено. В энтероцитах каротины превращаются в ретинол. Наибольшей метаболической активностью обладает бета-каротин. При распаде он даёт две молекулы витамина А. Контролируют процесс превращения каротинов гормоны щитовидной железы. Далее ретинол в составе хиломикрон транспортируется в печень, где создаётся его депо. По мере
необходимости витамин освобождается из депо под действием фермента РЕТИНОЛЭСТЕРАЗЫ и направляется в клетки, где связывается специфическим РЕТИНОЛ-СВЯЗЫВАЮЩИМ белком. Особенно богаты этим белком эмбриональные ткани.
МЕТАБОЛИЧЕСКИЕ ФУНКЦИИ РЕТИНОЛА.
1. Он принимает участие в дифференцировке эпителиальных тканей, а также участвует в
регуляции роста и дифференцировке эмбриональных тканей. В эмбриональных тканях
витамин А стимулирует синтез ХОНДРОЭТИНСУЛЬФАТОВ.
2. Витамин А принимает участие в обеспечении фоточувствительности сетчатки глаза.
Производное ретинола - 11-ЦИСРЕТИНАЛЬ - вместе с белком ОПСИНОМ формирует
зрительный пигмент РОДОПСИН. Под действием фотонов света родопсин расщепляется на
ОПСИН и ТРАНС-РЕТИН АЛЬ. При этом возникает потенциал действия, который
передаётся в ЦНС и формирует зрительное ощущение. В темноте ТРАНС-РЕТИНАЛЬ
превращается изомеразой в ЦИС-РЕТИНОЛ. Под действием фермента алкоголь -ДГ ЦИС-
РЕТИНОЛ превращается в ЦИС-РЕТИНАЛЬ. Постоянное осуществление цикла требует
восполнения цис-ретиналя из запасов ретинола, но при его дефиците родопсин не может
восстанавливаться в темноте. Суточная потребность в витамине А: 1,5-2 мг.
81.
Продукты богатые витамином А: рыбий жир, печень тунца, палтуса, полярных млекопитающих,
трески, яичный желток, сливочное масло. Продукты богатые каротином: красно-оранжевые овощи и плоды (облепиха, морковь, курога, томаты), некоторые зелёные (петрушка, лук порей).
|
|
|
Для витамина А описан как гипервитаминоз, так и гиповитаминоз.
ГИПОВИТАМИНОЗ проявляется:
1. нарушение дифференцировки эпителия - кератинизация.
Например, ороговение эпителия выводных протоков слёзных желез ведёт к сухости коньюктивы и роговицы - КСЕРОФТАЛЬМИЯ, и к воспалительному размягчению роговицы - КЕРАТОМАЛЯЦИЯ.
2. нарушение восприятия света и сумеречного зрения - ГЕМЕРОЛАПИЯ («куриная слепота»).
При хроническом гиповитаминозе вит.А развивается дистрофия и необратимая дегенерация
палочек.
ГИПЕРВИТАМИНОЗ - это состояние, связанное с избытком витамина в организме человека. Растворимые в воде витамины не накапливаются в организме, их избыток выводится из организма с мочой. Жирорастворимые витамины депонируются, причём их депо включает печень и жировая ткань. Запас вит.А в печени на 2-3 года. Чаще гипервитаминоз возникает при передозировке витамином или самостоятельном лечении. Тяжелый гипервитаминоз А может привести к некрозу клеток печени и почечного эпителия.
Витамин D(антирахитический).
Включает несколько витаминов: D2 - ЭРГОКАЛЬЦИФЕРРОЛ (производное ЭРГОСТЕРИНА),
D3 - ХОЛЕКАЛЬЦИФЕРРОЛ (производное холестерина). Химическая структура витамина D3:

Витамин D поступает в организм и направляется в печень, где гидроксилируется и образуется 25-ГИДРОКСИХОЛЕКАЛЬЦИФЕРРОЛ. В почках происходит повторное гидроксилирование и образуется 1,25-ДИГИДРОКСИХОЛЕКАЛЬЦИФЕРРОЛ (КАЛЬЦИТРИОЛ). Это и есть метаболическое активное производное витамина D.
МЕТАБОЛИЧЕСКИЕ ФУНКЦИИ КАЛЬЦИТРИОЛА:
1. Стимулирует всасывание кальций и фосфор из кишечника, синтез кальций -связывающего
белка в кишечнике, а также реабсорбцию кальция и фосфора в почках.
2. Повышает уровень кальция и фосфора в плазме крови.
3. Способствует минерализации костной ткани.
4. Стимулирует синтез кальций -связывающего белка в костной ткани.
5. Способствует созреванию остеокластов.
ГИПОВИТАМИНОЗ витамина D в детском возрасте приводит развитию рахита.
1. Понижается уровень кальция и фосфора в крови (ГИПОКАЛЬЦИЕМИЯ и
ГИПОФОСФОРЕМИЯ).
2. Нарушается минерализация костной ткани. Кости становятся более податливыми из-за
понижения резорбции избыточного хряща и остеоида. Формируются специфические
деформации черепа, рахитические чётки и браслетки. По мере развития моторных навыков
ребёнка формируются искривления позвоночника и конечностей. Задерживается закрытие
родничков и прорезывание зубов.
3. Нарушается деятельность ЦНС и развивается мышечная гипотония.
У взрослых гиповитаминоз приводит к ОСТЕОПОРОЗУ и ОСТЕОМАЛЯЦИИ.
Суточная потребность в витамине D: у взрослых - 2,5 мг (100 ME); у детей и беременных -
12,5мг (500 ME).
82.
Лекция № 27.
Витамины (продолжение).
1 ВИТАМИН К и ВИТАМИН Е.
2 ВОДОРАСТВОРИМЫЕ ВИТАМИНЫ.
Витамин К (АНТИГЕМОРРАГИЧЕСКИЙ - предупреждает кровоточивость). Изоформы:
1. К1 -ФИЛЛОХИНОН.
2. К2-МЕНАХИНОН.
3. КЗ - НАФТОХИНОН.
Метаболические функции витамина К.
1. Является КОФАКТОРОМ карбоксилирования ГЛУ в протромбине, т.е. необходим для его поевпашения в тромбин.

2. Участвует в превращении ПРОКОНВЕРТИНА в КОНВЕРТИН
Суточная потребность в витамине К - 1мг. Он синтезируется микрофлорой кишечника.
Продукты богатые витамином К: шпинат, капуста, крапива, томат, картофель, печень, яйца,
молоко, мука из гниющей рыбы. Авитаминоз проявляется в виде ГЕМОРРАГИИ (кровотечения носовые, маточные). Причины: нарушение усвоения жира, нарушение функции печени, заболевания ЖВП.
ВИКАСОЛ (синтезирован в Харькове).

Витамин Е (ТОКОФЕРРОЛ, АНТИСТЕРИЛЬНЫЙ - предупреждает стерильность самок животных; АНТИОКСИДАНТНЫЙ). Наиболее активен альфа -ТОКОФЕРРОЛ, он устойчив к нагреванию, обработке. Всасывается с помощью желчных кислот.
Метаболические функции витамина Е.
1. Регулирует интенсивность свободно радикальных процессов. Препятствует активации
перекисного окисления жиров, обеспечивая тем самым стабильность биологических
мембран.
2. Витамин Е повышает биологическую активность витамина А.
Гиповитаминоз у человека не выявлен, лишь у недоношенных детей наблюдаются признаки в
виде гемолитической анемии. При недостаточной обеспеченности витамином Е наблюдается
патология мембран, что может быть при других заболеваниях.
Суточная потребность в витамине Е: 20 -25мг.
83.
Источники витамина Е: растительное масло, горох, печень, проросшая пшеница, капуста, яичный желток, шиповник, дрожжи.
ВОДОРАСТВОРИМЫЕ ВИТАМИНЫ. Витамин С (аскорбиновая к-та, антискорбутный).
Химическая структура:

L-аскорбиновая кислота. L-дегидроаскорбиновая кислота
Витамин С легко окисляется в нейтральной и щелочной среде в присутствии кислорода. Метаболические функции витамина С.
1. Участие в окислительно-восстановительных реакциях:
антиоксидант, гидроксилирование катехоламинов,
ДОФА ® НОРАДРЕНАЛИН
гидроксилирование аминокислот, входящих в состав коллагена
ПРОЛИН ® ОКСИПРОЛИН
2. Синтез кортикостероидов
Суточная потребность в витамине С - 100 - 120мг.
Источниками витамина С являются: лимон, грецкие орехи, смородина, шиповник, яблоки,
красный перец, картофель, зелёный лук. укроп, квашеная капуста. Дефицит вит.С приводит к активации свободно радикальных процессов (стресс, ОРВИ). Гиповитаминоз проявляется в виде нарушения синтеза коллагена: увеличивается проницаемость сосудов, следовательно, кровоточивость десен, патехии на коже, кариес. Причины гиповитаминоза:
1. высокая потребность,
2. неустойчивость химической структуры,
3. отсутствие депо.
Витамин Р (витамин проницаемости, РУТИН, КАТЕХИНЫ, ПОЛИФЕНОЛЫ).
Обладает антиоксидантной активностью, участвует в окислительно-восстановительных реакциях.
Тормозит активность гиалуронидазы - фермента, разрушающего гиалуроновую кислоту
(компонент соединительной ткани). Суточная потребность не установлена. Источниками витамина Р являются апельсины, лимон, шиповник, смородина, грецкий орех,
салат, томат, капуста, картофель, чай, сухое красное вино.
Гиповитаминоз проявляется аналогично гиповитаминозу С.
|
ТИАМИН не растворим в воде и выпускается в виде соли. Устойчив в кислой среде, неустойчив в щелочной и нейтральной. Выдерживает нагревание в кислой среде до 120.
Метаболические функции вит.В1
1. Входит в состав ТДФ: ТИАМИН(АТФ) ® ТДФ
- КОФЕРМЕНТ декарбоксилаз альфа -КЕТОКИСЛОТ (ПВК, альфа -КГК)
- КОФЕРМЕНТ транскетолазы (фермент пентозного цикла).
2.Участвует в передаче нервного импульса.
Суточная потребность в витамине B1 - 2-Змг. Она возрастает при употреблении в пищу легко усваиваемых углеводов. 1000 ккал требует 0,5мг ТИАМИНА. Источниками витамина В1 являются дрожжи, гречневая и овсяная крупа, пшеничная мука грубого помола, печень, мясо, яйцо, картофель. При его недостатке в тканях накапливаются ПВК, альфа -КГК. Страдает в первую очередь нервная ткань, что проявляется ПОЛИНЕВРИТОМ. Авитаминоз В1 проявляется в виде заболевания бери-бери:
ПОЛИНЕВРИТЫ (онемение конечностей, парастезии),
Сердечно-сосудистая недостаточность,
Нарушение водного обмена (отёки),
Нарушение функции ЖКТ (нарушение секреции и перистальтики). Особенно нарушается усвоение витамина В1 у хронических алкоголиков.

Устойчив в кислой среде, но разрушается в нейтральной и щелочной среде.
Метаболические функции витамина В2.
1. Участвует в окислительно-восстановительных реакциях, т.к. входит в состав фермента ФМН
и ФАД.
2. Компонент дыхательной цепи, входит в состав НАДН - ДГ.
3. Принимает участие в окислении жирных кислот, янтарной кислоты, аминокислот.
Суточная потребность в витамине В2 - 2-4мг.
Источниками витамина В2 являются дрожжи, печень, мясо, хлеб, соя, яйцо.
Гиповитаминоз и авитаминоз проявляется поражением эпителия слизистых, роговицы глаз, кожи;
сухость губ, поражение слизистой полости рта, трещины на губах, кератиты, васкуляризация
глаз.

Участвует в образовании НАД и НАДФ.
1. Компонент дыхательной цепи.
2. КОФЕРМЕНТ различных дегидрогеназ.
Суточная потребность в витамине РР 20 - 25мг.
Источниками витамина РР являются дрожжи, говяжья печень, рыба, грибы, мука пшеничная, соя, бобы, хлеб, картофель, мясо. Может синтезироваться в организме при поступлении с пищей белков и витамина В6. Гиповитаминоз проявляется в виде пеллагры:
1. Дерматит с повреждением симметричных участков кожи, повреждённых УФО.
2. Диарея.
3. Деменция.
Причины гиповитаминоза: белковое голодание, недостаток витамина В6.

Участвует в образовании ПФ:
1. КОФЕРМЕНТАМИНОТРАНСФЕРАЗ.
2. КОФЕРМЕНТДЕКАРБОКСИЛАЗ.
3. Принимает участие в ДЕЗАМИНИРОВАНИИ.
4. Необходим для образования витамина РР из триптофана.
5. Сигма-АМИНОЛЕВУЛИНОВАЯ кислота ® гем.
Т.о. витамин В6 участвует в обмене аминокислот, следовательно, необходим для нормального
обмена белков. Суточная потребность-2мг. Источники вит.В6: картофель, пшеница, рис, отруби, печень, дрожжи. Гиповитаминоз приводит к нарушению белкового обмена, что проявляется развитием анемии, дерматита, стоматита, глоссита.
Лекция № 28. Витамины (продолжение).
1. ВИТАМИН В12, ВИТАМИН Н и ПАНТОТЕИНОВАЯ КИСЛОТА.
2. ВИТАМИНОПОДОБНЫЕ СОЕДИНЕНИЯ И АНТИВИТАМИНЫ.
3. СОСТОЯНИЕ ВИТАМИННОЙ ОБЕСПЕЧЕННОСТИ В СОВРЕМЕННЫХ УСЛОВИЯХ.
Витамин В12 (кобаломин, антианемический).
По структуре геминоподобное соединение. Устойчив при нагревании, но не образуется ни в организме человека, ни в организме животных, ни в растениях, но синтезируется микроорганизмами.
Метаболические функции витамина В12.
В процессе метаболизма из КОБАЛОМИНА образуются МЕТИЛКОБАЛОМИН и АДЕНОЗИНКОБАЛОМИН. МЕТИЛКОБАЛОМИН участвует в транспорте метильных групп
I. МЕТИЛИРОВАНИЕ В12
ГОМОЦИСТЕИН ® МЕТИОНИН ® ХОЛИН ® ФОСФОТИДИЛХОЛИН
2.ДЕМЕТЕЛИРОВАНИЕ В12
МЕТИЛТЕТРОГИДРОФОЛЕВАЯ К-ТА ® ТЕТРОГИДРОФОЛЕВАЯ К-ТА
II. АДЕНОЗИЛКОБАЛАМИН В12
МЕТИЛМАЛОНИЛ-КОА ®СУКЦИНИЛ-КОА
Суточная потребность в витамине 1,5-Змкг. В клинике используют до 200мкг. В этом случае он усваивается без внутреннего фактора КАСТЛА. Источниками витамина В12 являются печень говяжья и трески, мясо, сыр, яйцо, молоко коровье, козье. Витамин В12 синтезируется микрофлорой кишечника. Он депонируется в печени. Его запасов хватает на 2 - 3 месяца.
86.
Гиповитаминоз В12:
1.Клетки теряют фолевую кислоту, а её дефицит проявляется в виде мегалобластической анемии.
2.Поражение слизистой ЖКТ.
3.Накопление МЕТИЛМАЛОНИЛ-КОА. следовательно, повышение синтеза жирных кислот с
нечётным количеством атомов углерода.
4.Нарушение синтеза ХОЛИНА и ФОСФОЛИПИДОВ, следовательно, повышается синтез
нейтральных жиров, приводящее к жировой инфильтрации печени.
5.Повышение ГОМОЦИСТЕИНА в крови приводит к развитию атеросклероза.
Причины гиповитаминоза. Для всасывания витамина В12 необходим МУКОПРОТЕИН (фактор КАСЛА), который синтезируется обкладочными клетками слизистой желудка.
1. Недостаточность или нарушение рецепторов.
2. Дефицит мукопротеина (иммунные расстройства, заболевания слизистой желудка).
3. Дефицит витамина В12 (длительное вегетарианство, энтериты, дсбактериозы).
В крови витамин В12 транспортируется с помощью белка ТРАНСКОБАЛОМИНА. Выделяют его несколько форм. С помощью транскобаломина-2 витамин транспортируется в печень и там депонируется, связывается с транскобаломином-1 и поступает снова в кровь. Транскобаломин-3 предупреждает потери витамина. Курение понижает активность витамина В12.
Витамин Н (биотин, антисеборейный).
Метаболические функции витамина Н
1. Является КО-ферментом карбоксилаз ПВК, ацетил -КОА, пропионил-КОА.
ПВК + CО2 (нит.Н) ® ЩУК
2. Участвует в реакциях синтеза жирных кислот и стерина.
Суточная потребность в витамине Н 0,15 - 0,2мг. Источниками витамина Н являются печень, соя, молоко, яйца, мука, лук, морковь, апельсины, дрожжи, арахис. Синтезируется микрофлорой кишечника. Гиповитаминоз проявляется в виде чешуйчатого дерматита (носогубной треугольник и волосистая часть головы), конъюктевита, анемии, себореи. Причины гиповитаминоза: дисбактериозы. Употребление сырых яиц. содержащих АВИДИН, связывающий витамин Н, и этот комплекс не усваивается. Заболевания ПЖЖ, в которой синтезируется фермент БИОТИНИДАЗА, освобождающий биотин от белка; если этого фермента нет, то БИОТИН не усваивается.
ПАНТОТЕИНОВАЯ КИСЛОТа (витамин ВЗ или В5).
Является производной бета -АЛАНИНА, соединенной с производным масляной кислоты. Метаболические функции ПАНТОТЕИНОВОЙ кислоты.
1. Входит в состав КО-фермента А, следовательно, участвует в синтезе АЦЕТИЛ-КОА,
различных АЦИЛ-КОА, образующихся в результате следующих реакций:
ОКИСЛИТЕЛЬНОЕ ДЕКАРБОКСИЛИРОВАНИЕ альфа –КЕТОКИСЛОТ. Синтез и окисление жирных кислот, синтез СТЕРОИДОВ.
2. Участвует в синтезе более 80 различных ферментов.
Суточная потребность 10-15мг. Источники: печень, дрожжи, пчелиное молочко. Синтезируется микрофлорой кишечника. Гиповитаминоз характеризуется поражением -малых -артерий нижних конечностей. В эксперименте наблюдался некроз надпочечников.
ВИТАМИНОПОДОБНЫЕ ВЕЩЕСТВА.
Синтезируются в организме, но в недостаточном количестве. Потребность в них измеряется в граммах. Например, витамин F, содержащий три незаменимые аминокислоты (ЛИНОЛЕВУЮ, ЛИНОЛЕНОВУЮ, АРАХИДОНОВУЮ). Его относят в настоящее время к витаминподобным веществам. Т.к. суточная потребность в нём до 10гр.
ПАБК (ПАРААМИНОБЕНЗОЙНАЯ К-ТА)
|
1. Участвует в образовании ФОЛИЕВОИ кислоты,
2. Участвует в образовании ряда ферментов,
3. Является фактором пигментации.
Недостаточность ПАБК проявляется в виде нарушения
пигментации. Суточная потребность не установлена. Источники: печень, дрожжи и другие продукты.
87.
|
1. Участвует в образовании ФОСФОТИДИЛХОЛИНА.
2. Донор - СНЗ групп для образования ПУРИНОВЫХ и
ПИРИМИДИНОВЫХ оснований.
3. Необходим для образования АЦЕТИЛ ХОЛИ НА.
Суточная потребность: 0,5 - 1 гр. Источники: желток яиц, печень, почки и др. продукты.
ОРОТОВАЯ КИСЛОТА (является пиримидиновым основанием)
|
Необходима для синтеза ПИРИМИДИНОВЫХ И ПУРИНОВЫХ
азотистых оснований, предшественников аминокислот. Содержится в дрожжах и печени.
ПАНГАМОВАЯ КИСЛОТА - производное глюкуроновой кислоты и диметилглицина. В организме быстро гидролизуется. ИНОЗИТ (производное циклогексана)
|
Входит в состав ФОСФОТИДИЛИНОЗИТА. При его недостатке развивается дерматит и жировое перерождение печени. Суточная потребность 1 -2гр.
АНТИВИТАМИНЫ - это вещества, нарушающие усвоение витаминов или понижающие
биологическую активность витаминов.
По действию различают АНТИВИТАМИНЫ:
1. Прямо воздействующие:
белок яйца АВЕДИН + БИОТИН не усваиваются ТИАМИНАЗА - разрушение тиамина.
2. Структуры аналогичные витаминам:

СА включается в ферменты микроорганизмов, не отличающие их по структуре. Функции
ферментов нарушается, и микроорганизмы погибают.
МЕТОТРИКСАН - антивитамин фолиевой кислоты. Используется как противоопухолевый
препарат, снижает белок синтетические процессы в клетках.
ДИКУМАРИН - антивитамин К, снижающий свёртываемость крови.
ФТИВАЗИД, ТУБАЗИД - антивитамин В6.
СОСТОЯНИЕ ВИТАМИННОЙ ОБЕСПЕЧЕННОСТИ В СОВРЕМЕННЫХ УСЛОВИЯХ.
В результате многочисленных исследований витаминной обеспеченности было установлено, что глубокий дефицит витаминов наблюдается менее чем у 20% населения, а содержание витаминов ниже нормы наблюдается у 50 - 90% населения. Содержание витаминов определяется в крови. Дают нагрузку витамином с последующим его определением в моче. Если наблюдается дефицит витамина в организме, то в моче он не определяется даже после нагрузки. Недостаточная витаминная обеспеченность проявляется: (1) повышенная утомляемость; (2) повышенная сонливость; (3) повышенная восприимчивость к заболеваниям; (4) повышена частота сердечно-сосудистых заболеваний; (5) повышение тяжести переноса заболеваний. При этом отсутствует специфическая клиническая симптоматика, как при гиповитаминозах. Причины недостаточной витаминной обеспеченности:
1. Снижение затрат энергии в современных условиях, следовательно, необходимость снижение
потребления пищи.
88.
2. Повышение потребления рафинированных продуктов, калорийных, но бедных витаминами.
3. Использование консервированных продуктов длительного хранения. Выход:
1. Витаминизация пищи.
2. Поливитамины с не менее 8-9 компонентами.
Рацион современного человека, достаточный по калорийности, не может удовлетворить потребность организма в витаминах и микроэлементах.
Лекция № 29. Биохимия печени
1. РОЛЬ ПЕЧЕНИ В ПИГМЕНТНОМ ОБМЕНЕ. БИОСИНТЕЗ И РАСПАД ГЕМА.
2. ПАТОЛОГИЯ ПИГМЕНТНОГО ОБМЕНА. ВИДЫ ЖЕЛТУХ.
Основным источником пигментов для организма являются гемсодержащие белки. Эти сложные белки объединяет их небелковая часть, которая представлена гемом.
ТЕТРАМЕТИЛДИВИНИЛДИПРОПИОНОВОКИСЛЫЙ ПОРФИН. Основную массу всех гемпротеинов организма человека составляет гемоглобин, находящийся в эритроцитах крови и клетках костного мозга (82%). 17% тема содержится в миоглобине скелетных мышц и миокарда. На долю клеточных гемпротоинов (ферменты, ПЕРОКСИДАЗЫ, ЦИТОХРОМЫ) приходится 1%.
БИОСИНТЕЗ ГЕМА.
Исходным материалом в синтезе является глицин и активная форма янтарной кислоты и образующийся из них сигма -АМИНОЛЕВУМИНОВАЯ кислота (АЛК). В дальнейшем из двух молекул этой кислоты образуется МОНОПИРРОЛ. Далее при конденсации четырёх молекул монопиррола образуется ТЕТРАПИРРОЛ, дальнейшее превращение которого в гем предусматривает ДЕКАРБОКСИЛИРОВАНИЕ, окисление с последующим включением атома железа. Печень и костный мозг с ядросодержащими эритроцитами занимают центральное место в биосинтезе. В меньшей степени биосинтез возможен в почках и слизистой кишечника.

РАСПАД ГЕМА.
За сутки в организме взрослого человека в среднем с массой 70кг распадается около 9гр гемпротеинов, главным образом за счёт распада эритроцитов, в которых содержится гемоглобин. Средняя продолжительность жизни эритроцитов составляет 3,5-4 месяца. Разрушение эритроцитов происходит в кровяном русле или селезёнке, что ведёт к высвобождению гемоглобина, который связывается с альфа2 -ГЛОБУЛИНАМИ плазмы и в виде комплекса ГЕМОГЛОБИН-ГАПТОГЛОБИН попадает в клетки РЭС, главным образом селезёнки, печени и соединительной ткани. Гаптоглобин, отщепляясь, переходит в кровь, а гемоглобин, окисляясь, подвергается распаду с образованием желчных кислот БИЛИВЕРДИНА и БИЛЛИРУБИНА (очень токсичные вещества). Освобождающийся из гемоглобина гем повторно не используется. Железо утилизируется. Распад гемоглобина начинается с разрыва одного из метильных мостиков с образованием ВЕРДОГЛОБИНА. Это первая стадия распада, катализируемая ферментом ГЕМОКСИТЕНАЗОЙ, требующей присутствия кислорода и НАДФ*Н2.
В дальнейшем от молекулы ВЕРДОГЛОБИНА отщепляется ГЛОБИН и железо с образованием БИЛЛИВЕРДИНА, который в дальнейшем превращается при восстановлении в БИЛЛИРУБИН (коричневого цвета). Он тоже очень токсичен, поэтому из клеток РЕС он удаляется. В крови он соединяется с белком АЛЬБУМИНОМ, образуя комплексное соединение БИЛЛИРУБИН-АЛЬБУМИН. Его принято называть неконъюгированным биллирубином (НБ). Ранее его называли непрямым, поскольку он не мог быть открыт прямой реакцией с реактивом ЭРЛИХА, а открывается только при осаждении белка. Он имеет свойства: токсичен, гидрофобен. не способен фильтроваться почками, не даёт прямой реакции с реактивом ЭРЛИХА. Поступая в печень, НБ обезвреживается. Выполнив транспортную роль, с током крови уходит альбумин, а в клетках печени биллирубин будет конъюгироваться с глюкуроновой кислотой (УДФГК), при этом образуется МОНОДИБИЛЛИРУБИНГЛЮКУРОНИД. Глюкуроновая кислота присоединяется к СООН-группе остатков пропионовой кислоты. ГЛЮКУРОНИДЫ это уже обезвреженные формы биллирубина. Их называют КОНЪЮГИРОВАННЫМ БИЛЛИРУБИНОМ (КБ). Ранее его называли прямым биллирубином, т.к. он открывается прямой реакцией с ДИАЗО -реактивом ЭРЛИХА. Он имеет свойства: нетоксичен, гидрофилен, способен фильтроваться почками, дает прямую реакцию с реактивом ЭРЛИХА. КБ выделяется из печени в составе желчи в кишечник, где под влиянием ферментов слизистой оболочки кишечника и кишечной микрофлоры гидролитически распадается. Глюкуроновая кислота всасывается в кровь и через систему портальной вены поступает в печень, где снова принимает участие в интоксикации веществ. БИЛЛИРУБИН восстанавливается по некоторым двойным связям, превращаясь в МЕЗОБИЛЛИНОГЕН. Он частично в тонком отделе кишечника может всасываться в кровь и через портальную вену поступать в печень, где частично распадается с образованием моно-, ди-, трипирролов, которые выделяются почками в составе мочи. Незначительная часть МЕЗОБИЛИНОГЕНА, минуя печень, поступает в почки и выделяется в виде УРОБИЛИНОГЕНА. При суточном диурезе в норме 1,2 - 1,5л с мочой взрослого человека выделяется 1 - 4мг уробилиногена, который на свету превращается в уробилин. Основная часть мезобилиногена, продвигаясь с пищевым комком в толстый отдел кишечника под влиянием ферментов кишечной микрофлоры восстанавливаясь, превращается в СТЕРКОБИЛИНОГЕН - основной пигмент кала, который, выделяясь из организма, на свету превращается в стеркобилин. Было установлено, что за сутки с калом взрослого человека выделяется 240 - 300мг стеркобилина. Небольшая часть стеркобилиногена в толстом отделах кишечника в области геморроидальных вен, всасываясь в кровь, минуя печень, поступает в почки, где фильтруется и выделяется в составе мочи.
Т.о. основными компонентами доступных для исследования биологических сред являются:
1. Для крови: НБ - 75%, КБ - 25%. Суммарно этот показатель обозначается, как общий билирубин КРОВИ, который в норме для взрослого человека составляет 8 -20ммоль/л.
2. Для желчи - КБ.
3. Для мочи: УРОБИЛИНОГЕН (1 -4мг/сутки), СТЕРКОБИЛИН.
4. Для кала: СТЕРКОБИЛИНОГЕН (240 - 300мг/сутки).
ПАТОЛОГИЯ ПИГМЕНТНОГО ОБМЕНА.
Может наблюдаться при усиленном распаде эритроцитов, при нарушении функции печени и ЖВП. В результате этих нарушений у больных кожа и видимые слизистые оболочки окрашиваются в желтый цвет. Желтушность становится заметной если уровень общего билирубина в крови повышается в 2 -3 раза. Для проведения дифференциальной диагностики желтух необходимо исследовать кровь, мочу и кал на содержание в них желчных пигментов. Различают:
1. НАДПЕЧЕНОЧНАЯ ЖЕЛТУХА (ГЕМОЛИТИЧЕСКАЯ).
Идёт гемолиз эритроцитов по причине их токсического повреждения, переливания несовместимых групп крови, несовместимости групп крови матери и плода по резус-фактору, при дефиците ферментных систем эритроцитов, при гемолитической болезни новорождённых. В крови у таких больных наблюдается: ГИПЕРБИЛИРУБИНЕМИЯ за счёт НБ, количество эритроцитов и гемоглобина ниже нормы. В крови повышается активность АСАТ. В моче количество уробилина выше нормы, билирубин отсутствует. Моча окрашивается в интенсивно оранжевый цвет. Кал интенсивно окрашен. В нём повышается содержание стеркобилина.
2. ПЕЧЕНОЧНАЯ ЖЕЛТУХА (токсические и вирусные и другие гепатиты).
Причиной развития является воспалительное заболевание печени. При этом повреждаются клетки печени, что ведёт к понижению активности ГЛЮКУРОНИЛТРАНСФЕРАЗЫ и, как следствие, нарушается образование КБ. Токсическое влияние на мембраны ведёт к повышению их проницаемости и выходу в кровь НБ и КБ. Так у больных развивается смешанная ГИПЕРБИЛИРУБИНЕМИЯ. Значит, повышается активность ферментов АЛАТ, АСАТ, ГГТ, ЛДГ-4, ЛДГ-5. В моче в большом количестве КБ. Моча окрашивается в коричневый цвет. В кале количество стеркобилина понижается.
3. ПОДПЕЧЕНОЧНАЯ ЖЕЛТУХА (механическая).
Развивается по причине нарушения оттока желчи в тонкий кишечник из-за болезней печени, ЖВП, либо давлении опухолью извне. При глистных инвазиях, когда происходит закупорка общего желчного протока. В результате развивается застой желчи в желчном пузыре, что ведёт к повышению проницаемости желчных капилляров и выходу КБ. В крови повышается активность ГГТ, щелочной фосфатазы. В моче обнаруживается билирубин. Количество стеркобилина в кале значительно понижается. Кал приобретает серовато-грязный цвет, т.е. становится АХОЛИЧНЫМ.
4. ФИЗИОЛОГИЧЕСКАЯ ЖЕЛТУХА НОВОРОЖДЁНЫХ.
Развивается на 3-4 сутки после рождения и держится 7-8 дней. Встречается у 80% новорождённых. Она связана с тем, что в крови содержится много эритроцитов, скорость распада которых после рождения велика, а детоксикация развита слабо по причине низкой активности генов, ответственных за синтез ГЛЮКУРОНИЛТРАНСФЕРАЗЫ.
5. ЖЕЛТУХА НЕДОНОШЕННЫХ.
Выражена сильнее и держится дольше до 4 -5 недель. Билирубин оказывает большое токсическое влияние на функции мозга. Понизить интоксикацию можно переливанием крови, введением ФЕНОБАРБИТАЛА и проводимой светотерапией, которая повышает конъюгацию билирубина.
6. НАСЛЕДСТВЕНЫЕ ЖЕЛТУХИ.
Связаны с генетическим дефектом ГЛЮКУРОНИЛТРАНСФЕРАЗЫ. В крови уровень НБ резко повышается. В отличие от гемолитической желтухи количество эритроцитов и уровень гемоглобина в норме. В желчи КБ нет.






