Теория экономического роста развивалась по двум направлениям: неоклассическому и кейнсианскому.
Простая неоклассическая модель роста. Неоклассические модели роста используются для изучения трендовых траекторий при стационарном режиме развития, предполагающем, что макроэкономическое статическое равновесие в условиях совершенной конкуренции и процессе роста как бы воспроизводит самое себя. Базовые переменные модели изменяются одинаковыми темпами, а взаимосвязь между ними во всех временных точках рассматриваемого периода постоянна. По сути дела речь идет о «динамической статике»: характер развития в будущем полностью аналогичен его состоянию в настоящем. Таким образом, в динамике равновесие поддерживается также, как и в статике: на основе точного знания производителями цен равновесия на свой продукт, гибких цен на продукты и ресурсы, немедленного уравнивания сбережений и инвестиций с помощью гибких процентных ставок, расширения доходов пропорционально предельной производительности факторов производства, максимизирующего поведение всех производителей.
|
|
|
В самом общем виде неоклассическая модель равновесного роста описывается следующим набором уравнений.
1. Производственной функцией с бесконечным числом комбинаций труда и капитала, дающих возможность получить определенное количество продукции:
Y1 = F(Kt, L t), (1)
где Y - естественный уровень реального объема производства;
Kt, L t – соответствующие затраты труда и капитала;
F - знак функции.
2. Функцией предложения труда. Предполагается, что существует постоянный экзогенно заданный темп прироста населения, а число отработанных человеко-часов let тоже растет постоянными темпами. В этом случае предложение труда описывается функцией:
Lst = L0 х le. (2)
3. Уравнением равновесия на рынке труда:
Ldt = Lts = L0 х let. (3)
4. Функцией сбережений:
St = Sy х Yt. (4)
где Sy – стабильная во времени предельная склонность к сбережению.
5. Уравнением равновесия на рынке благ:
It = St. (5)
Уравнение (1) обычно специфицируется в виде производственной функции Кобба – Дугласа с эластичностью замены труда капиталом, равной 1
Yt = A х Kta х Lt1-δ. (6)
Эта модель построена без учета технического прогресса. При введении в производственную функцию технического прогресса уравнение (1) преобразуется следующим образом:
при ТП, нейтральном по Хиксу,
Yi = A(t) F (Kt,Lt); (7)
при ТП, нейтральном по Солоу,
Yt = F(A(t) х Kt Lt); (8)
при ТП, нейтральном по Харроду,
Yt = F(Kt, A(t) х L t); (9)
где А – функция технического прогресса.
Анализ моделей с НТП показывает, что даже совершенная конкуренция позволяет автоматически поддерживать устойчивое равновесие в процессе экономического роста не при любом типе технического прогресса. Такая возможность появляется лишь в условиях нейтрального по Харроду НТП. При других типах НТП нужны дополнительные условия. Например, при трудосберегающем типе НТП необходимо, чтобы темп роста инвестиций был равен темпу роста производительности труда, а при капиталосберегающем типе НТП – серия корректировок предпринимателями капитальных коэффициентов, сводящих НТП к нейтральному Харроду.
|
|
|
Неокейнсианские модели динамического равновесия. Согласно концепции Дж. Кейнса, для достижения макроэкономического равновесия при полной занятости в случае, когда эффективный спрос недостаточен для реализации всего объема ВЦП, естественного для данных экономических условий, нужны дополнительные инвестиции, инициируемые государством за счет увеличения дефицита госбюджета или роста государственного долга.
Дополнительные инвестиции на основе мультипликатора вызывают производный спрос на дополнительные предметы потребления, что позволяет реализовать весь естественный объем национального производства и обеспечить полную занятость. Что будет с экономикой дальше, Дж. Кейнс не рассматривал, так как анализ ограничивался коротким периодом.
Этот вопрос применительно к теории экономического роста попытались решить последователи Кейнса. Они обратили внимание на то, что если инвестиции порождают спрос на дополнительные предметы потребления, то этот новый спрос в порядке производной связи создает дополнительный спрос на новые средства производства и, следовательно, на новые инвестиции. Было подмечено, что существенная роль в этом процессе принадлежит проценту объема продаж. Если объем продаж, например, увеличивается на ny %, то инвестиции, индуцированные данным ростом, увеличиваются более высокими темпами (n1 > ny). И наоборот, при снижении объема продаж индуцированные инвестиции уменьшаются более быстрым темпом. Это позволило дополнить принцип мультипликатора принципом акселератора. Принцип акселератора отражается следующим уравнением:
It = V(Yt-1 – Yt-2) (10)
где V – акселератор, показывающий, какой объем дополнительных инвестиций индуцируется приростом объема продаж в предыдущем году.
С учетом принципов акселератора и мультипликатора был разработан ряд неокейнсианских моделей экономического роста. Характерной чертой этих моделей является использование производственной функции леонтьевского типа, предполагающей, что между факторами производства существуют только отношения взаимодополняемости без их взаиомозаменяемости. Графически такая функция отражается угловой изоквантой, а ее экономический смысл состоит в том, что позволяет рассматривать производственную функцию как однофакторную
Yt = F(Kt). (11)
Простейшими посткейнсианскими моделями роста является модель Е.Домара и модель Р.Харрода.
Модель Е.Домара. Американский экономист Е.Домар не ставил перед собой задачу создания систематической теории спроса. Его основной целью являлась постановка проблемы полной занятости в долгосрочном периоде. Основной вклад Е.Домара в теорию роста состоит в том, что он обратил внимание на необходимость учета обоих эффектов инвестиций, т.е. не только мультипликатора, но и акселератора.
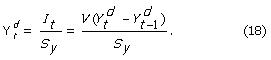
Для выявления трендовой динамики естественного уровня объема производства была предложена модель динамического равновесия, состоящая из трех уравнений: предложения, спроса и равновесного роста.
Построение уравнения предложения базируется на посылке о том, что инвестиции, осуществляемые в текущем периоде, увеличивают капитал К в следующем периоде
It-1 =
K1 = K1 – Kt-1.
При заданном уровне развития техники и отсутствии взаимозаменяемости факторов производства производительность капитала (Y/K = σ) является величиной постоянной и не меняется с увеличением размера капитала. В этом случае предложение благ в периоде t описывается формулой:
|
|
|
Yts = σ х
Kt = σ х
It-1. (12)
Приращение спроса на блага в периоде t определяется на основе мультипликатора:

где Sy – предельная склонность к сбережениям, обратная величина которой определяет мультипликатор.
Уравнение равновесного роста описывается равенством между приростами спроса и предложения

С учетом предыдущих уравнений оно может быть представлено в виде:

Отсюда делаются два вывода. Во-первых, для поддержания полного использования производственных мощностей нужно регулярно увеличивать инвестиции с темпом прироста, равным произведению производительности капитала на предельную склонность к сбережениям. Так как при равновесии
S = I, S = Sy х Y и Sy - const, то

Поскольку σ – const, то

Во-вторых, для поддержания полной занятости необходимо, чтобы темп прироста предложения труда был равен темпу прироста спроса на труд. Поскольку между факторами нет взаимозаменяемости, темп прироста спроса на труд равен темпу прироста капитала. Следовательно, равновесие на рынке труда обеспечивается при темпе роста предложения труда, равном темпу прироста капитала:

В результате условие равновесного роста (14) можно расширить:

Из модели Домара следует, что при принятых предпосылках для поддержания полной занятости и равновесия на рынке благ необходимо постоянно увеличивать объем инвестиций заданным темпом. Однако инвестиционные планы предпринимателей могут оказаться не столь оптимистическими. В том случае, если объем инвестиций окажется меньшим, чем необходимо для равновесного роста реального объема производства и поддержания полной занятости, экономическая система будет все дальше отклоняться от равновесной траектории. Таким образом, равновесие в модели Домара неустойчиво в том смысле, что в ней не предусмотрено механизма, возвращающего экономику в состояние равновесия после отклонения от него.
|
|
|
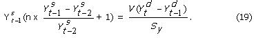
Модель Р.Харрода. Р.Харрод поставил перед собой более широкую задачу, чем Е.Домар, пытаясь описать механизм сбалансированного роста, основывающийся не только на уравнениях, отражающих функциональные связи в экономике, но и на анализе психологических мотивов поведения предпринимателей.
Поведение предпринимателей в модели Р.Харрода описывается следующим образом. Если в предшествующем периоде спрос превышал предложение:

то предприниматели увеличивают темп расширения объема производства.
В противном случае

они уменьшают этот темп, а в условиях, когда равновесие было достигнуто, сохраняют сложившийся темп роста.
В математической форме эта поведенческая функция записывается в виде:


Преобразовав это уравнение, умножив обе его части на Y
, а затем, прибавив к ним по Y
, можно получить формулу, описывающую зависимость общего объема предложения в году t от результатов предыдущего развития:

Для выявления объема совокупного спроса на блага Харрод первоначально определяет объем спроса на инвестиции, основываясь на принципе акселератора: K = V(Yt – Yt-1). На основе инвестиционного спроса с учетом принципа мультипликатора определяется совокупный спрос на товары и услуги:

Для того, чтобы экономический рост был равновесным, необходимо, чтобы соблюдалось равенство между уравнениями (17) и (18):

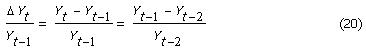
Если в предшествующем периоде рост был равновесным (Y
- Y
), тогда n = 1 и в соответствии с принятым предположением о поведении предпринимателя темп прироста в текущем периоде будет равен темпу прироста в предшествующем периоде:

С учетом вывода о постоянстве темпа прироста, который следует из выражения (20), уравнение сбалансированного роста (19) примет вид:

Это означает, что если в силу каких бы то ни было соображений предприниматели планируют темп прироста предложения, равный Sy /(V-Sy), их ожидания полностью сбываются, и они будут впредь расширять производство тем же темпом. В результате экономика будет развиваться по равновесной траектории.
Если предприниматели планируют темп прироста, отличный от того, который гарантирует достижение равновесия, то равновесие в модели Харрода, так же как и в модели Домара, оказывается неустойчивым.
Допустим, что первоначально экономика находится в состоянии равновесия и Y
= Y
= 100. Пусть Sy = 0,5, а V = 2. Тогда в соответствии с равенством (21) равновесный темп прироста составит
0,5: (2-0,5) = 0,333…
Значит, в 1-м периоде равновесие будет сохраняться, если предприниматели запланируют объем предложения, равный 100 + 0,333 х 100 = 133,3… В таком случае объем инвестиций в соответствии с формулой акселератора составит 2 х 33,3 = 67,7. При таких инвестициях совокупный спрос (рассчитанный по уравнению (18)) достигнет величины Y
= 66,7: 0,5 = 133,3, т.е. равновесие сохранится.
Если предприниматели сделают излишне оптимистичные прогнозы об изменениях объема спроса и расширяют производство в большем объеме, чем необходимо для сохранения равновесия, например, до 150, то их потребности в инвестициях составят 2 х 50 = 100. При таком объеме инвестиций совокупный спрос окажется выше предложения: Yt = 00: 0,5 = 200. Обнаружив дефицит, предприниматели начнут инвестировать еще больше, но снова не удовлетворят спрос, так как для увеличения производства с Yt до Yt+1 потребность в инвестициях составит V(Yt+1 – Yt), а при таких инвестициях спрос равняется V/ S х (Yt-1 – Yt). Поскольку V/Sy > 1, то спрос все время будет опережать предложение.
Выводы анализа, проведенного на базе неокейнсианских моделей роста, аналогичны выводам из кейнсианской модели функционирования экономики в условиях статики. Суть сводится к следующему: равновесный рост неустойчив и поэтому требуется регулирование роста экономики. Поскольку параметр d в модели Домара и Харрода определяются уровнем развития техники, то в качестве регулирующего параметра государству следует использовать Sy, воздействуя на склонность к сбережениям методами кредитно-бюджетной политики.






