![]() |
При среднем положении заслонки при h=0 соблюдается равенство расходов
![]() |
Так как у ГУ оба плеча симметричны R3=R4, то
![]() |
а расходы через постоянные дроссели будут определяться соотношениями

где GП – проводимость постоянных дросселей.
При перемещении золотника в диагонали моста расходуется жидкость
![]() |
На основании схемы ГУ можно записать
![]() |
откуда после вычитания одного из другого, получим
![]() |
Полученное выражение является нелинейным. При расчётах его обычно линеаризуют. Для этого рассматривается случай, когда гидравлические сопротивления при нейтральном положении заслонки для всех четырёх дросселей одинаковы
![]() |
При этом крутизна характеристики ГУ максимальна. Давление на торцах золотника представляется в приращениях по отношению к равновесному давлению при h=0
![]() |
Так как при h=0, DP=0 и Р3=Р4, то

откуда получим для определения равновесного давления Р0, соответствующего максимальной крутизне,
|
|
|

С учётом проделанных выкладок, выражение для расхода будет иметь вид
![]() |
Раскладывая полученное выражение в ряд, можно получить для дасхода в ГУ следующее выражение:
![]() |
где:
![]() |
Полученное выражение связывает расход Q с перемещением заслонки h и перепадом давления DР.
Теперь обратимся к уравнению равновесия сил на золотнике:
![]() |
где mЗ – масса золотника, FГ=сГ х – гидродинамическая сила, действующая на золотник, FП=сП х – упругая сила пружины. Анализ сил, входящих в последнее уравнение показывает, что в ГУ с центрирующими пружинами инерционные и скоростные составляющие сил, действующих на золотник, малы по сравнению с упругой силой пружины, т. е.:
![]() |
откуда получаем:
![]() |
С учётом изложенного, перемещение заслонки h связано с перемещением золотника дифференциальным уравнением
![]() |
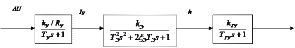
откуда получим передаточную функцию ГУ, приведённую ниже
|
| ||||
| |||||

где:
![]() |
|
Cтруктурная схема электрогидравлического рулевого привода.
В заключении раздела рассмотрим структурную схему гидравлического рулевого привода в общем случае, которая получена путём соединения в соответствии с функциональной схемой рассмотренных выше отдельных участков структурной схемы.
Система уравнений, описывающих работу привода, имеет вид:
|
|
|
1.
![]() |
Уравнение сумматора: где напряжение в цепи обратной связи определяется по соотношению:
![]() |
2. Уравнение усилителя:
![]() |
3. Уравнение ЭМП:
![]() |
4. Угловое отклонение якоря, выраженное через длину якоря lя, связано с перемещением золотника h:
![]() |
5. Уравнение гидравлического усилителя связывает перемещение заслонки с перемещением золотника
6.
![]() |
Уравнение неразрывности (баланса) расходов дроссельного ГП
![]() |
7. Уравнение равновесия моментов на выходном валу ДГП мы рассматривали при анализе нагрузок на выходном валу привода. Момент нагрузки уравновешивается развиваемым моментом привода:
![]() |
Применяя к приведённой системе уравнений преобразование Лапласа при нулевых начальных условиях, получим систему уравнений привода в операторной форме, на основании которой ниже построена структурная схема:

Полученная структурная схема служит основой для анализа динамических характеристик гидравлического рулевого привода. Она позволяет учесть влияние большинства конструктивных параметров на динамику привода.
ЛАЧХ электрогидравлического привода.
Выше представлены результаты исследования гидравлического привода. В частности было показано, что внутренний контур можно заменить апериодическим и колебательным звеньями. Указывалось, что постоянные времени усилителя и ЭМП малы и ими можно пренебречь ТУ=0 и ТЭ=0. С учётом принятых допущений передаточная функция разомкнутого ЭГП может быть представлена в следующем виде

|
|
|
|
|








где, для примера, динамические показатели могут иметь следующие значения: ТШ=1,5 с, ТГУ=0,01 с, ТГП=0,00016 с, zГП=0,1.






























