Реография.
Активное сопротивление обусловлено взаимодействием в веществе зарядов противоположного знака, следовательно, ткани и органы организма обладают активным сопротивлением.
Как известно, в организме нет органов подобных катушке индуктивности, следовательно, в организме отсутствует индуктивное сопротивление.
Ёмкостное сопротивление обусловлено в организме наличием мембран и макроскопических образований, состоящих из различных соединительных оболочек и перегородок.

При прохождении электрического тока через ткани в мембране с одной стороны скапливается заряды одного знака, с другой – противоположного знака. Такую систему следует рассматривать как систему конденсаторов.
Макроскопические же образования являются плохими проводниками. По обе стороны от них находятся ткани, обильно снабженные жидкостью (электролиты). При прохождении тока через перегородки на них также скапливаются заряды, знаки которых противоположны. Значит, их также следует рассматривать как конденсаторы.
|
|
|
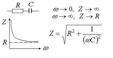
Таким образом, если на участок ткани наложить электроды и пропустить переменный электрический ток, то такую цепь можно моделировать либо как

При постоянном токе
сопротивление стремится к бесконечности, причем очень резко. Это предполагает, что сопротивление тканей организма бесконечно большое, что противоречит действительности;
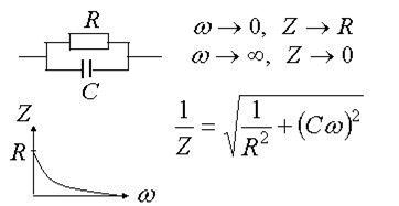
либо как

Из графика
следует, что при переменном токе высокой частоты (
) импеданс тканей стремится к нулю, но опыт показывает, что даже при больших частотах биологические ткани обладают сопротивлением.
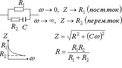
Поэтому ткани или органы как элемент цепи переменного тока следует моделировать так:

Зависимость
важно знать для оценки жизнедеятельности тканей организма. Например,

1- криваядля здоровой клетки;
2- для мертвой клетки, убитой кипячением (конденсаторы – мембраны разрушены, осталось только активное сопротивление)
Диагностический метод, основанный на регистрации изме-нения импеданса тканей организма в процессе сердечной деятельности, называется реографией (импеданс-плетизмографией).
Блок-схема реографа:







