ЦПТ, содержащая последовательно включенные
.
Мгновенныезначения входного напряжения и напряжения на конденсаторе
уравновешиваются, поэтому

Сила тока в цепи

ток опережает по фазе напряжение на
.
| |
закон Ома для ЦПТ с конденсатором.


Сила тока на всех элементах одинакова и равна силе входного тока:

Напряжения на элементах цепи:

опережает ток на 
отстает от тока на
.
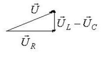
В цепях постоянного тока общее напряжение рассчитывается арифметическим сложением напряжений на элементах цепи, но в цепях переменного тока такое сложение громоздкое. Поэтому для расчёта общего напряжения проще воспользоваться методом
| или | |
векторных диаграмм: 

Из закона Ома:
Из треугольника напряжений рассчитать модуль вектора напряжения:

Разделив стороны треугольника напряжений на
, получим треугольник сопротивлений:

- импеданс ( общее сопротивление цепи) можно определить из треугольника сопротивлений:
.
Если
, то в цепи наблюдается резонанс напряжений – резкое возрастание напряжения, при котором 







