Бюджет — это форма образования и расходования денежных средств, предназначенных для финансового обеспечения задач и функций государства и местного самоуправления.
Одним из механизмов, позволяющих государству проводить экономическую и социальную политику, является финансовая система общества и входящий в ее состав государственный бюджет.
Бюджетной системой
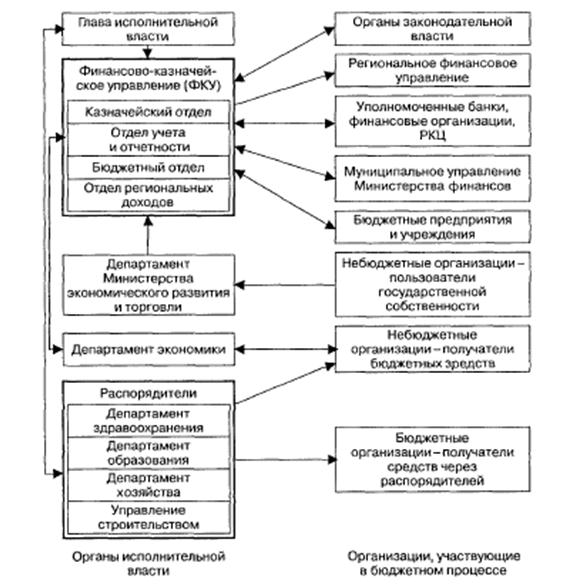
Схема информационных потоков между основными участниками бюджетного процесса представлена на рис. 5.
Ключевую роль в управлении информационными потоками финансовых, бюджетных, налоговых служб играют вычислительные центры федерального и регионального уровней. Телекоммуникационную основу информатизации в финансовых и налоговых службах федерального и территориального уровня управления составляют корпоративные компьютерные сети. Обмен данными в таких сетях осуществляется на основе стандартных протоколов.







