
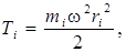
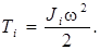
Определим выражение кинетической энергии для тела, вращающегося вокруг выделенной оси (рис. 3.2). Разобьем тело на отдельные материальные точки. Для каждой из материальных точек можно записать выражение
. Так как
, то 
|
и
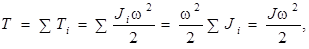
Энергия вращательного движения тела
(3.8)
где 
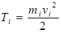
В том случае, когда тело совершает не только поступательное, но и вращательное движение полная кинетическая энергия







