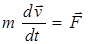
Рассмотрим простейшую систему, состоящую из одной частицы, на которую действует сила
. Напишем уравнение движения этой частицы:
(v<< c).
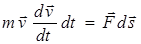
Умножив левую и правую части уравнения на перемещение
, получим:
или 
,
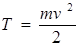
, (2.10)
где Т – кинетическая энергия тела,
– приращение кинетической энергии, а
, (2.11)
работа силы при элементарном перемещении. Формула
утверждает, что работа силы идет на приращении кинетической энергии тела. Если на тело действует совокупность сил и перемещение тела осуществляется на конечную величину, то работа всех сил, действующих на частицу, идет на приращение кинетической энергии частицы:
А = Т 2 – Т 1.
Работу силы за единицу времени называют мощностью. Мгновенная мощность
(2.12)






