Энергия заряженного тела, конденсатора.
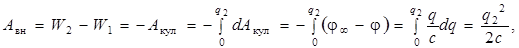
Выведем формулу для энергии заряженного проводника. Рассмотрим работу внешних сил по увеличению заряда проводника от q 1 = 0 до q 2. Для этого будем малыми порциями dq перемещать заряд из бесконечности на поверхность проводника. При этом работа внешней силы будет совершаться против кулоновской силы отталкивания одноименных зарядов и поэтому

где учтено, что W 1 = 0.
Учитывая, что q = cφ, для энергии заряженного уединенного проводника можно записать
(8.8)
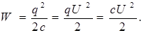
Аналогично рассуждая, можно получить формулу для энергии заряженного конденсатора.
(8.9)
Преобразовав формулу (8.9), для энергии заряженного плоского конденсатора получим

где V = Sd – объем пространства между обкладками конденсатора, w – объемная плотность электростатического поля.
Введение w позволяет рассчитать энергию W электростатического поля в любом конечном объеме пространства:

8.4. Сила и плотность тока. Законы Ома и Джоуля – Ленца
Под электрическим током понимают упорядоченное движение заряженных частиц. Электрический ток существует при наличии свободных зарядов и электрического поля.
|
|
|
Протекающий по проводнику ток характеризует сила тока I, определяемая по формуле

где dq – заряд, проходящий через поперечное сечение проводника за единицу времени. Распределение тока по сечению проводника характеризует вектор плотности тока
, направление которого в каждой точке проводника совпадает с направлением скорости 
упорядоченных положительных частиц. Модуль вектора
равен

где dI – сила тока, протекающего в данной точке внутри проводника через элементарную площадку
, расположенную перпендикулярно к направлению тока.
Введение вектора плотности тока
позволяет найти силу тока, протекающего через любую поверхность S:

Вектор плотности тока
где q 0 – заряд свободной заряженной частицы,
- средняя скорость направленного движения заряженной частицы.
Г. Ом экспериментально установил следующий закон: сила тока I, текущего по однородному участку цепи, прямо пропорциональна напряжению U, приложенному к нему и обратно пропорциональна сопротивлению R этого участка цепи:

Однородным участком электрической цепи называют участок, на котором направленное движение зарядов происходит под действием только кулоновских сил. Отметим, что для однородного участка цепи напряжение U совпадает с разностью потенциалов φ1 – φ2 между начальной и конечной точками участка.
Закон Джоуля - Ленца формулируется следующим образом: количество теплоты, выделяемое в проводнике при протекании по нему электрического тока, равно произведению квадрата силы тока на сопротивление проводника и на время протекания по нему тока:
|
|
|

Учитывая, что
, законы Ома и Джоуля – Ленца можно записать в дифференциальной форме:

где
- количество теплоты, которое выделяется в единице объема проводника за единицу времени.