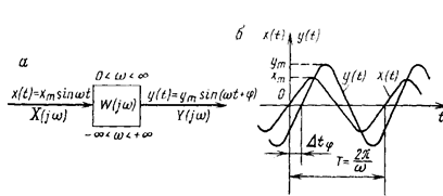
Частотными характеристиками называются зависимости, связывающие входную и выходную величины линейной системы в установившемся режиме, когда входное воздействие изменяется по гармоническому закону x(t) = a sin wt с частотой и постоянной амплитудой a. На выходе системы после завершения переходного процесса устанавливается синусоидальные колебания y(t) = b sin(wt + j). На комплексной плоскости входная и выходная величин для каждого момента времени t определены векторами а и b.

В комплексной тригонометрической форме
x = a(cos wt + j sin wt)
y = b[cos(wt + j) + j sin(wt + j)].
Используя формулу Эйлера ejwt = cos wt + j sin wt, получим
x(t) = aejwt; y(t) = bej(wt+j).

Если амплитуду колебаний входной величины оставить неизменной, а изменять частоту w от нуля до ¥, то каждому значению частоты будут соответствовать определенные значения амплитуды колебаний b и сдвига фазы j на выходе системы. Это значит, что отношение амплитуд и разность фаз являются функциями частоты, т.е:
b/a = A(w); j = j(w).
Рассмотренные выше временные, передаточные и частотные характеристики однозначно связаны меду собой прямым и обратным преобразованиями Лапласа и Фурье. Это отражено в таблице.
|
|
|
Таблица.
Взаимные соответствия динамических характеристик.
| Характер-ки | h(t) | w(t) | W(p) | W(jw) |
| Переходная h(t)= |
| L-1{W(p)/p} | F-1{W(jw)/ jw} | |
| Импульсная w(t)= | dh(t)/dt | L-1{W(p)} | F-1{W(jw)} | |
| Передаточная W(p)= | pL{h(t)} | L{w(t)} | W(jw) ½ p=jw | |
| Частотная W(jw)= | jwF{h(t)} | F{w(t)} | W(p) ½ p=jw |






