(график в координатах f(ω,T) от λ)

Зависимость испускательной способности абсолютно черного тела от длины волны для разных температур (выделены цветом) и её вид, исходя из классических рассуждений Релея и Джинса (черный цвет)
Основываясь на законе о равнораспределении энергии по степеням свободы: на каждое электромагнитное колебание приходится в среднем энергия, складываемая из двух частей kT. Одну половинку вносит электрическая составляющая волны, а вторую —— магнитная. Само по себе, равновесное излучение в полости, можно представить как систему стоячих волн. Количество стоячих волн в трехмерном пространстве дается выражением:
.
В нашем случае скорость v следует положить равной c, более того, в одном направлении могут двигаться две электромагнитные волны с одной частотой, но со взаимно перпендикулярными поляризациями, тогда (1) в добавок следует помножить на два:
.
Итак, Релей и Джинс, каждому колебанию приписали энергию
. Помножив (2) на
,получим плотность энергии, которая приходится на интервал частот dω:
|
|
|
,
тогда:
.
Зная связь испускательной способности абсолютно черного тела f (ω, T) с равновесной плотностью энергией теплового излучения
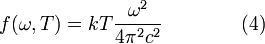
, для f (ω, T) находим:

Выражения (3) и (4), называют формулой Релея-Джинса.
Формулы (3) и (4) удовлетворительно согласуются с экспериментальными данными лишь для больших длин волн, на более коротких волнах согласие с экспериментом резко расходится. Более того, интегрирование (3) по ω в пределах от 0 до
для равновесной плотности энергии u (T) дает бесконечно большое значение. Этот результат, получивший название ультрафиолетовой катастрофы, очевидно, входит в противоречие с экспериментом: равновесие между излучением и излучающим телом должно устанавливаться при конечных значениях u (T). Однако ошибки в выводе формулы Релея-Джинса с классической точки зрения —— нет. Очевидно несогласие с экспериментом вызвано некими закономерностями, которые несовместимы с классической физикой. Эти закономерности были определены Максом Планком: в 1900 году ему удалось найти вид функции u (ω, T), соответствующий опытным данным, в дальнейшем называемую формулой Планка.






