Формула Ридберга — эмпирическая формула, описывающая длины волн в спектрах излучения атомов химических элементов. Предложена шведским учёным Йоханнесом Ридбергом и представлена 5 ноября 1888 года.
Формула Ридберга для водородоподобных элементов выглядит следующим образом:

где
— длина волны света в вакууме;
— постоянная Ридберга для рассматриваемого химического элемента;
— атомный номер, или число протонов в ядре атома данного элемента;
и
— целые числа, такие что
.
27) Атом водорода: по Томсону, Бору
Модель Бора
Боровская модель водородоподобного атома (Z — заряд ядра), где отрицательно заряженный электрон заключен в атомной оболочке, окружающей малое, положительно заряженное атомное ядро. Переход электрона с орбиты на орбиту сопровождается излучением или поглощением кванта электромагнитной энергии (hν).
Полуклассическая модель атома, предложенная Нильсом Бором в 1913 г. За основу он взял планетарную модель атома, выдвинутую Резерфордом. Однако, с точки зрения классической электродинамики, электрон в модели Резерфорда, двигаясь вокруг ядра, должен был бы излучать непрерывно, и очень быстро, потеряв энергию, упасть на ядро. Чтобы преодолеть эту проблему Бор ввел допущение, суть которого заключается в том, что электроны в атоме могут двигаться только по определенным (стационарным) орбитам, находясь на которых они не излучают, а излучение или поглощение происходит только в момент перехода с одной орбиты на другую. Причем стационарными являются лишь те орбиты, при движении по которым момент количества движения электрона равен целому числу постоянных Планка:
.
|
|
|
Используя это допущение и законы классической механики, а именно равенство силы притяжения электрона со стороны ядра и центробежной силы, действующей на вращающийся электрон, он получил следующие значения для радиуса стационарной орбиты Rn и энергии En находящегося на этой орбите электрона:

Здесь me — масса электрона, Z — количество протонов в ядре,
— диэлектрическая постоянная, e — заряд электрона.
Именно такое выражение для энергии можно получить, применяя уравнение Шрёдингера, решая задачу о движении электрона в центральном кулоновском поле.
Радиус первой орбиты в атоме водорода R0=5,2917720859(36)×10−11 м, ныне называется боровским радиусом, либо атомной единицей длины и широко используется в современной физике. Энергия первой орбиты E 0 = − 13.6 эВ представляет собой энергию ионизации атома водорода.
28) Опыт Франка Герца
Суть опытов, предложенных и проведенных Франком и Герцем в 1913 году, состояла в нахождении потенциалов ионизации атомов ртути, т.е. в определении энергии ускоренного электрона в наполненной парами ртути трехэлектродной лампе, который, сталкиваясь с атомом ртути, мог отщепить слабосвязанный с ним внешний (валентный) электрон. Заметим, что в том же году Н. Бор сформулировал свои постулаты.
|
|
|
Согласно идеям Бора энергия электрона в атоме может принимать непроизвольные значения, а лишь значения из определенного дискретного набора, впоследствии названные энергетическими уровнями. Эти энергетические уровни иногда называют оптическими уровнями, так как при любых переходах между ними поглощаются или излучаются фотоны, длины волн которых лежат в видимой или соседних областях спектра.
Опыт, явившийся экспериментальным доказательством дискретности внутренней энергии атома. Поставлен в 1913 Дж. Франком и Г. Герцем.
На рисунке приведена схема опыта. К катоду К и сетке C1 электровакуумной трубки, наполненной парами Hg (ртути), прикладывается разность потенциалов V, ускоряющая электроны, и снимается зависимость силы тока I от V. К сетке C2 и аноду А прикладывается замедляющая разность потенциалов. Ускоренные в области I электроны испытывают соударения с атомами Hg в области II. Если энергия электронов после соударения достаточна для преодоления замедляющего потенциала в области III, то они попадут на анод. Следовательно, показания гальванометра Г зависят от потери электронами энергии при ударе.
В опыте наблюдался монотонный рост I при увеличении ускоряющего потенциала вплоть до 4,9 В, то есть электроны с энергией Е < 4,9 эВ испытывали упругие соударения с атомами Hg и внутренняя энергия атомов не менялась. При значении V = 4,9 В (и кратных ему значениях 9,8 В, 14,7 В) появлялись резкие спады тока. Это определённым образом указывало на то, что при этих значениях V соударения электронов с атомами носят неупругий характер, то есть энергия электронов достаточна для возбуждения атомов Hg. При кратных 4,9 эВ значениях энергии электроны могут испытывать неупругие столкновения несколько раз.
Таким образом, опыт Франка — Герца показал, что спектр поглощаемой атомом энергии не непрерывен, а дискретен, минимальная порция (квант электромагнитного поля), которую может поглотить атом Hg, равна 4,9 эВ. Значение длины волны λ = 253,7 нм свечения паров Hg, возникавшее при V > 4,9 В, оказалось в соответствии со вторым постулатом Бора
,
где E0 и E1 — энергии основного и возбужденного уровней энергии. В опыте Франка — Герца, E0 — E1 = 4,9 эВ.
29) Волны Луи де Бройля
Волны, связанные с любой микрочастицей и отражающие их квантовую природу.
;
-позволяет найти длину волны для частицы, которая обладает импульсом р.

Для е:
;
1[Ангстрем]=
[м].
Свойство волн де Бройля.


;
(фаза скорости волны де Бройля>скорости света); 
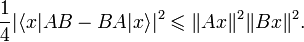
30) Принцип неопределённости Гейзенберга
Определение: произведение неопределенностей значений двух сопряженных переменных не может быть по порядку величины меньше, чем постоянная Планка.
Обобщённый принцип неопределённости
Теорема. Для любых самосопряжённых операторов:
и
, и любого элемента x из H такого, что ABx и BAx оба определены (то есть, в частности, Ax и Bx также определены), имеем:

Это прямое следствие неравенства Коши — Буняковского.
Следовательно, верна следующая общая форма принципа неопределённости, впервые выведенная в 1930 г. Говардом Перси Робертсоном и (независимо) Эрвином Шрёдингером:

Это неравенство называют соотношением Робертсона — Шрёдингера.
Оператор AB − BA называют коммутатором A и B и обозначают как [ A, B ]. Он определен для тех x, для которых определены оба ABx и BAx.
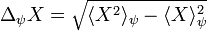
Из соотношения Робертсона — Шрёдингера немедленно следует соотношение неопределённости Гейзенберга:
Предположим, A и B — две физические величины, которые связаны с самосопряжёнными операторами. Если AB ψ и BA ψ определены, тогда:
|
|
|
,
где:

— среднее значение оператора величины X в состоянии ψ системы, и

— оператор стандартного отклонения величины X в состоянии ψ системы.
Приведённые выше определения среднего и стандартного отклонения формально определены исключительно в терминах теории операторов. Утверждение становится однако более значащим, как только мы заметим, что они являются фактически средним и стандартным отклонением измеренного распределения значений. См. квантовая статистическая механика.
То же самое может быть сделано не только для пары сопряжённых операторов (например координаты и импульса, или продолжительности и энергии), но вообще для любой пары Эрмитовых операторов. Существует отношение неопределённости между напряжённостью поля и числом частиц, которое приводит к явлению виртуальных частиц.
Возможно также существование двух некоммутирующих самосопряжённых операторов A и B, которые имеют один и тот же собственный вектор ψ. В этом случае ψ представляет собой чистое состояние, которое является одновременно измеримым для A и B.
Общие наблюдаемые переменные, которые повинуются принципу неопределённости
Предыдущие математические результаты показывают, как найти отношения неопределённости между физическими переменными, а именно, определить значения пар переменных A и B, коммутатор которых имеет определённые аналитические свойства.
- самое известное отношение неопределённости — между координатой и импульсом частицы в пространстве:

- отношение неопределённости между двумя ортогональными компонентами оператора полного углового момента частицы:

где i, j, k различны и Ji обозначает угловой момент вдоль оси xi.
- следующее отношение неопределённости между энергией и временем часто представляется в учебниках физики, хотя его интерпретация требует осторожности, так как не существует оператора, представляющего время:

- Следует подчеркнуть, что для выполнения условий теоремы, необходимо, чтобы оба самосопряженных оператора были определены на одном и том же множестве функций. Примером пары операторов, для которых это условие нарушается, может служить оператор проекции углового момента Lz и оператор азимутального угла
. Первый из них является самосопряженным только на множестве 2π-периодичных функций, в то время как оператор
, очевидно, выводит из этого множества. Для решения возникшей проблемы можно вместо
взять
, что приведет к следующей форме принципа неопределенности[1]:
.
|
|
|
Однако, при
условие периодичности несущественно и принцип неопределенности принимает привычный вид:
.
31. Уравнение Шрёдингера.
Уравне́ние Шрёдингера — уравнение, описывающее изменение в пространстве и во времени чистого состояния, задаваемого волновой функцией, в гамильтоновых квантовых системах. Его можно назвать уравнением движения квантовой частицы. Установлено Эрвином Шрёдингером в 1926 году.
Позволяет найти волновые функции частиц, движущихся в различных силовых полях.

,
— постоянная Планка;
— масса частицы,
—потенциальная энергия частицы,
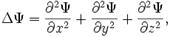
—оператор Лапласа, результат действия которого на некоторую функцию представляет собой сумму вторых частных производных по координатам:

Из уравнения (1) следует, что вид волновой функции определяется функцией
, т.е. характером сил, действующих на частицу.
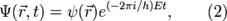
частное решение для специального случая, когда
не является функцией времени, можно записать в виде:

где функция
должна удовлетворять уравнению:

которое получается из уравнения Шрёдингера (1) при подстановке в него указанной выше формулы для
(2)