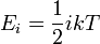
Вспомним, что температура связана со средней энергией (приходящейся на одну молекулу) только поступательных степеней свободы молекулы:
,где k — постоянная Больцмана. В этой записи учтен так называемый принцип равнораспределения энергии по степеням свободы: на каждую поступательную степень свободы при термодинамическом равновесии приходится в среднем энергия
. Этот принцип иногда называют теоремой, иногда законом, иногда постулатом о равнораспределении энергии по степеням свободы. Важно не название. Важно другое — что он распространяется не только на поступательные, но и на любые степени свободы молекулы. Это означает, что для нагревания до температуры Т газа, молекулы которого обладают при этой температуре i степенями свободы, нужно каждую из них «накормить» энергией
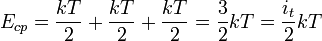
. Так что в результате потребуется в среднем, в расчете на одну молекулу, энергия 
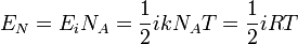
,в расчете на один моль, содержащий число молекул, равное постоянной Авогадро NA, -
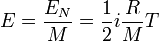
,где R — универсальная газовая постоянная, в расчете на один килограмм —
,где М — молярная масса. Напомним, что множитель при Т называется среднемолекулярной, молярной или удельной теплоемкостью соответственно.
|
|
|
Вернемся к колебательному движению молекул. Сколько степеней свободы соответствуют колебаниям вдоль одной линии? Оказывается, две: нужно знать не только положение относительно равновесия, но и скорость. С точки зрения энергии: одинаковый вклад (
) дает как средняя кинетическая энергия атомов, так и средняя потенциальная энергия их взаимодействия. Таким образом, если для жесткой гантельки i = 5, то в случае замены жесткого стерженька одномерной пружинкой i = 7.






