№1
КСР ЛК
Внешняя дисковая память
Видеопамять
Буферная (регистровая) память
Постоянные ЗУ (ROM)
Сверхоперативные запоминающие устройства статического типа (СОЗУ, Cach Memory)
Оперативные запоминающие устройства статического и динамического типа
4.1.1 ОЗУ (основная или оперативная память, Main Memory, Random Access Memory - RAM) служит для оперативного обмена информацией (команд управления и данных) между процессором и внешней памятью (например, дисковой), между процессором и периферийными устройствами (видеосистема, устройства ввода-вывода, коммуникационные устройства и др.)
4.1.2 ОЗУ – память с произвольным доступом и характеризуется большим объемом записываемой информации (большой емкостью), высоким быстродействием и производительностью, высокой надежностью хранения данных.
4.2.1 СОЗУ – буферная память между ОЗУ и центральным процессором или другими устройствами, подключенными к общей шине. СОЗУ (кэш-память) не адресуема, она «прозрачна» для подсистем-клиентов. СОЗУ может содержать несколько уровней: первичный кэш и вторичный кэш.
|
|
|
4.2.2 СОЗУ хранит копии блоков данных и команд тех областей ОЗУ, к которым были последние обращения и весьма вероятны последующие обращения к тем же данным, что ускоряет процесс чтения данных в сравнении с чтением этих данных с ОЗУ.
4.3.1 Постоянные ЗУ (ROM) – энергонезависимая память для хранения системной информации (хранения BIOS, знакогенераторов и др. информации необходимой для инициализации операционной системы).
4.3.2 Запись информации производится либо масочным способом на заводе, либо однократно или многократно изготовителем аппаратуры с помощью программаторов. После записи информации производится только считывание команд и данных.
4.3.3 ПЗУ свойственны невысокая стоимость и невысокое быстродействие. Обычно содержимое ОЗУ после запуска устройства копируется в определенную зону оперативной памяти и последующие обращения идет к этой «теневой» ОЗУ(Shadow ROM).
4.3.4 Полупостоянная память – энергозависимая или энергонезависимая память, используется для хранения информации о конфигурации различных устройств компьютера типа CMOS,, NV RAM.
4.6 Внешняя электронная память (электронные «диски», Flash Drive)
Дискретная случайная величина (ДСВ) может принимать конечное или бесконечное счетное число значений.
Законом распределения ДСВ называется соотношение между ее возможными значениями и их вероятностями (т. е. вероятностями, с которыми случайная величина принимает эти возможные значения).
|
|
|
Закон распределения может быть задан формулой (формулы Бернулли, Пуассона и др.), таблицей или графиком, а также функцией распределения.
Функцией распределения случайной величины
называется функция
,
определяющая вероятность того, что случайная величина
примет значение, меньшее
.
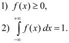
Общие свойства функции распределения:

Кроме этого универсального, существуют также частные виды законов распределения: ряд распределения
(только для дискретных случайных величин) и плотность распределения
(только для непрерывных случайных величин).
Основные свойства плотности распределения:

Распределения дискретных случайных величин
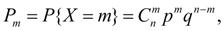
Биномиальное распределение. Дискретная случайная величина Х имеет биномиальное распределение, если ее возможные значения 0, 1, 2,..., m, …, n, а соответствующие им вероятности равны:

где 0 < p < 1, q = 1 – p; m = 0, 1, 2,..., n. Как видно из, вероятности Рm вычисляются, как члены разложения бинома Ньютона
, откуда и название «биномиальное распределение».
Примером является выборочный контроль качества производственных изделий, при котором отбор изделий для пробы производится по схеме случайной повторной выборки, т.е. когда проверенные изделия возвращаются в исходную партию. Тогда количество нестандартных изделий среди отобранных есть случайная величина с биномиальным законом распределения вероятностей.
Биномиальное распределение определяется двумя параметрами: n и p. Cлучайная величина, распределенная по биномиальному закону, имеет следующие основные числовые характеристики:
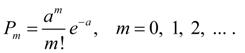
Распределение Пуассона. Дискретная случайная величина Х имеет распределение Пуассона, если она имеет бесконечное счетное множество возможных значений 0, 1, 2,..., m, …, а соответствующие им вероятности определяются формулой:
Примерами случайных явлений, подчиненных закону распределения Пуассона, являются: последовательность радиоактивного распада частиц, последовательность отказов при работе сложной компьютерной системы, поток заявок на телефонной станции и многие другие.
Закон распределения Пуассона зависит от одного параметра а, который одновременно является и математическим ожиданием, и дисперсией случайной величины Х, распределенной по закону Пуассона. Таким образом, для распределения Пуассона имеют место следующие основные числовые характеристики:

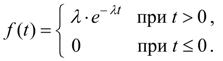
Показательное распределение. Непрерывная случайная величина Х имеет показательное распределение, если плотность распределения ее вероятностей выражается формулой:
(31)
График плотности распределения вероятностей (31) представлен на рис. 5.

График плотности показательного распределения
Время Т безотказной работы компьютерной системы есть случайная величина, имеющая показательное распределение с параметром λ, физический смысл которого – среднее число отказов в единицу времени, не считая простоев системы для ремонта.
Равномерное распределение. Непрерывная величина Х распределена равномерно на интервале (a, b), если все ее возможные значения находятся на этом интервале и плотность распределения вероятностей постоянна:

Для случайной величины Х, равномерно распределенной в интервале (a, b) (рис. 4), вероятность попадания в любой интервал (x 1, x 2), лежащий внутри интервала (a, b), равна:

График плотности равномерного распределения
Примерами равномерно распределенных величин являются ошибки округления. Так, если все табличные значения некоторой функции округлены до одного и того же разряда
, то выбирая наугад табличное значение, мы считаем, что ошибка округления выбранного числа есть случайная величина, равномерно распределенная в интервале 
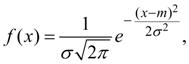
Нормальное (гауссово) распределение. Случайная величина Х имеет нормальное (гауссово) распределение, если плотность распределения ее вероятностей определяется зависимостью:
|
|
|

где m = M (X),
.
При
нормальное распределение называется стандартным.
График плотности нормального распределения (32) представлен на рис. 6.

График плотности нормального распределения
Нормальное распределение является наиболее часто встречающимся в различных случайных явлениях природы. Так, ошибки выполнения команд автоматизированным устройством, ошибки вывода космического корабля в заданную точку пространства, ошибки параметров компьютерных систем и т.д. в большинстве случаев имеют нормальное или близкое к нормальному распределение. Более того, случайные величины, образованные суммированием большого количества случайных слагаемых, распределены практически по нормальному закону.






