Общие рекомендации по решению уравнений и систем уравнений
Приближенное решение системы линейных уравнений
Решение системы линейных уравнений с помощью функцию Minerr аналогично решению с помощью функции Find (используется тот же алгоритм), только функция Find дает точное решение, а Minerr — приближенное. Если в результате поиска не может быть получено дальнейшее уточнение текущего приближения к решению, Minerr возвращает это приближение. Функция Find в этом случае возвращает сообщение об ошибке.
Ниже перечислены некоторые рекомендации, которые следует выполнять, если MathCAD не может самостоятельно найти решение.
· Можно подобрать другое начальное приближение.
· Можно увеличить или уменьшить точность расчетов. Для этого в меню выбрать Math ► Options (Математика – Опции), вкладка Built-In Variables (Встроенные переменные). В открывшейся вкладке необходимо уменьшить допустимую погрешность вычислений (Convergence Tolerance (TOL)). По умолчанию TOL = 0.001.
Внимание. При матричном методе решения необходимо переставить коэффициенты согласно возрастанию неизвестных х 1, х 2, х 3, х 4.
|
|
|
Системы нелинейных уравнений в MathCAD решаются с помощью вычислительного блока Given – Find.
Конструкция Given – Find использует расчетную методику, основанную на поиске корня вблизи точки начального приближения, заданной пользователем.
Для решения системы уравнений с помощью блока Given – Find необходимо:
1) задать начальные приближения для всех переменных;
2) ввести служебное слово Given;
3) записать систему уравнений, используя знак жирное равно (=);
4) написать функцию Find, перечислив неизвестные переменные в качестве параметров функции.
В результате расчетов выведется вектор решения системы.
Если система имеет несколько решений, алгоритм следует повторить с другими начальными приближениями.
Примечание. Если решается система из двух уравнений с двумя неизвестными, перед решением желательно построить графики функций, чтобы проверить, есть ли корни у системы (пересекаются ли графики заданных функций), и если есть, то сколько. Начальное приближение можно выбрать по графику поближе к точке пересечения.
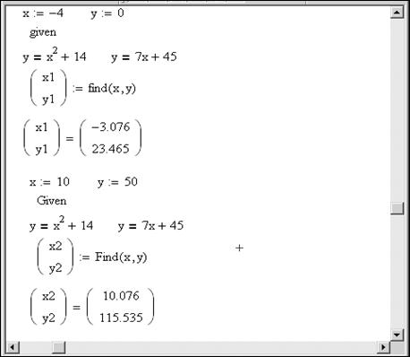
Пример. Дана система уравнений
.
Перед решением системы построим графики функций: параболы (первое уравнение) и прямой (второе уравнение). Построение графика прямой и параболы в одной системе координат приведено на рисунке 4.5:

Рис. 4.5. Построение графика двух функций в одной системе координат
Прямая и парабола пересекаются в двух точках, значит, система имеет два решения. По графику выбираем начальные приближения неизвестных x и y для каждого решения. Нахождение корней системы уравнений представлено на рисунке 4.6.
|
|
|

Рис. 4.6. Нахождение корней системы нелинейных уравнений
Для того чтобы отметить на графике точки пересечения параболы и прямой, координаты точек, найденные при решении системы, введем по оси Ох (значения х) и по оси Оу (значения у) через запятую. В окне форматирования графика во вкладке Traces для trace3 и trace4 изменим: тип графика — points, толщина линии — 3, цвет — черный (рис. 4.7).

Рис. 4.7. Графики функций с отмеченными точками пересечения