Итак, при помещении диэлектрика во внешнее электрическое поле он поляризуется, т. е. приобретает отличный от нуля дипольный момент
где рi — дипольный момент одной молекулы.
Для количественного описания поляризации диэлектрика пользуются векторной величиной, называемой поляризованностью диэлектрика.
Определение 3.
Поляризованность диэлеткрика – это дипольный момент единицы объема диэлектрика:

Из опыта следует, что для большого класса диэлектриков поляризованность Р линейно зависит от напряженности поля Е. Если диэлектрик изотропный и Е не слишком велико, то

где
— диэлектрическая восприимчивость вещества.
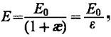
Экспериментально установлено, что результирующее электрическое поле в диэлектрике –
и внешнее действующее поле –
связаны соотношением:

где
называется относительной диэлектрической проницаемостью среды.
Примечание. Величина e показывает, во сколько раз поле ослабляется диэлектриком,
и характеризует количественно свойство диэлектрика поляризоваться в
данном электрическом поле.