Если работа поля не зависит от траектории перемещения, а зависит только от начального и конечного положений, то такое поле называется потенциальным, а силы, действующие в них, — консервативными.
Следовательно, электростатическое поле точечного заряда является потенциальным, а электростатические силы — консервативными.
Из формулы (1) также следует, что работа, совершаемая при перемещении электрического заряда во внешнем электростатическом поле по любому замкнутому пути L, равна нулю, т.е.
(2)
Если в электростатическом поле переносится единичный положительный заряд, то с учётом определения напряжённости элементарная работа сил поля на пути dl будет равна dА = (Е ·dl). И Тогда формулу (2) можно записать в виде

(3)
Примечание.
Интеграл, обозначенный как, называется интегралом по замкнутому контуру -
.
Определение 2.
Интеграл вида
называется циркуляцией вектора напряженности электростатического поля по замкнутому контуру – L.
Объект, находящейся в потенциальном поле сил (а электростатическое поле является потенциальным), обладает потенциальной энергией.
|
|
|
Работу (см. формулу (1) предыдущего раздела) сил электростатического поля можно представить как разность потенциальных энергий, которыми обладает точечный заряд Q0 в начальной и конечной точках поля заряда Q:
(1)
Если считать, что при удалении заряда в бесконечность (r2®¥) потенциальная энергия обращается в нуль (U2 = 0), то потенциальная энергия заряда Q0, находящегося в поле заряда Q на расстоянии r от него, будет равна
(2)
Определение 1.
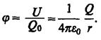
Потенциал j в какой-либо точке электростатического поля есть физическая величина, определяемая потенциальной энергией единичного положительного заряда, помещенного в эту точку,
(3)
Таким образом, работа, совершаемая силами электростатического поля при перемещении заряда Q0 из точки 1 в точку 2, может быть представлена как произведение перемещаемого заряда на разность потенциалов в начальной и конечной точках.
(4)
Если перемещать заряд Q0 из произвольной точки за в бесконечность, где, по условию, потенциал равен нулю (
), то работа сил электростатического поля, будет равна A¥ =Q0·j, откуда
(5)
Определение 2(основное!)