При турбулентном течении частицы жидкости приобретают составляющие скоростей, перпендикулярные течению, поэтому они могут переходить из одного слоя в другой. Скорость частиц жидкости быстро возрастает по мере удаления от поверхности трубы, затем изменяется довольно незначительно. Так как частицы жидкости переходят из одного слоя в другой, то их скорости в различных слоях мало отличаются. Из-за большого градиента скоростей у поверхности трубы обычно происходит образование вихрей.
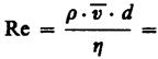
Характер течения определяется безразмерной величиной, называемой числом Рейнольдса (О. Рейнольдс (1842—1912) — английский ученый):


где
— кинематическая вязкость;
—плотность жидкости;
—средняя по сечению трубы скорость жидкости;
— характерный линейный размер, например диаметр трубы.
При малых значениях числа Рейнольдса
наблюдается ламинарное течение, переход от ламинарного течения к турбулентному происходит в области
а при
(для гладких труб) течение — турбулентное.
Если число Рейнольдса одинаково, то режим течения различных жидкостей (газов) в трубах разных сечений одинаков.






