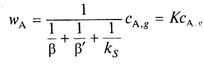
Скорость гетерогенного процесса по аналогии с законом действующих масс можно выразить как произведение некоторой константы скорости К на концентрацию газообразного реагента в газовом потоке САg:
![]() |
(15)
Уравнения скоростей отдельных стадий:
![]() |
(16)
![]() |
(17)
![]() |
(18)
Представим уравнения (16) - (18) таким образом, чтобы в их правых частях остались только концентрации реагентов, а затем почленно сложим их с учетом того, что в стационарных условиях
![]() |
(19)
![]() | |||||
![]() | |||||
![]() | |||||
____________________________________________________________ (20)
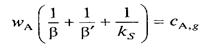
Получаем:
(21)
Таким образом, скорость гетерогенного процесса представлена в виде произведения константы скорости гетерогенного процесса К на концентрацию реагента А в газовой фазе Саg.
Когда сопротивление одной из стадий существенно превышает сопротивление двух других стадий, т, е. одна стадия затруднена по сравнению с другими, константа скорости гетерогенного процесса с достаточно хорошим приближением будет равна коэффициенту интенсивности данной стадии. Например;
![]() | |||
![]() |
(22)
Если такая затрудненная стадия существует, ее называют лимитирующей.









