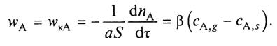
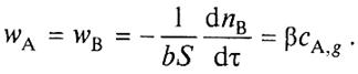
Основное сопротивление сосредоточено на стадии проникновения газообразного реагента А через пограничную газовую пленку, обедненную этим реагентом. Скорость гетерогенного процесса, равная в этом случае скорости конвективной диффузии, определяется уравнением:
![]() |
(23)
Так как концентрация СA,Sреагента А на поверхности твердой частицы равна нулю:
![]() |
(24)
Скорость гетерогенной реакции можно выразить через изменение во времени количеств газообразного реагента А и твердого реагента В:
(25)
Количество реагента В в твердой частице можно представить как произведение объема ядра Vв на молярно-объемную плотность dnB
Тогда 
(26)
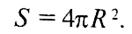
Поверхность S, к которой отнесена скорость внешней диффузии,— это внешняя поверхность твердой частицы с радиусом R:
![]() |
(27)
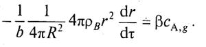
Подставляя dnBиз уравнения (26) и S из уравнения (27) в уравнение (25), получим
![]() |
(28)
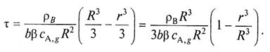
Решим дифференциальное уравнение (28) при начальном условии r = R, если t = 0:
(29)
![]() |
|
|
|
(30)
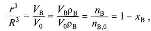
Отношение г3/R3 можно заменить на отношение объема к объему всей твердой частицы (VB/V0) и, умножив числитель и знаменатель на rВ, получим:
![]() |
(31)
где V0 — полный объем твердой частицы неменяющихся размеров.
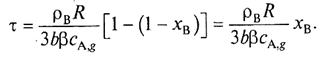
С учетом формулы (31)
![]() |
(32)
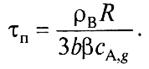
При XB= 1 (весь реагент В прореагировал) уравнение (32) позволит определить время полного превращения твердой частицы Вn, если гетерогенный процесс лимитируется внешней диффузией:
![]() |
(33)
Следовательно, для внешнедиффузионной области протекания гетерогенного процесса зависимость между и X Bимеет линейный характер:
![]() |
(34)















