Растворимость газа в жидкости подчиняется закону Генри, согласно которому равновесное парциальное давление растворенного газа p Ae над раствором прямо пропорционально его концентрации в жидкой фазе C A L:
![]() |
(22)
где коэффициент пропорциональности HAназывается константой Генри, или константой фазового равновесия.
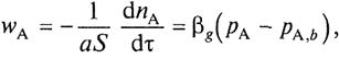
Скорость массоотдачи от газа к жидкости пропорциональна разности парциальных давлений компонента А в ядре газового потока pA и на границе раздела фаз pAb
![]() |
(23)
Где bg— коэффициент массоотдачи со стороны газовой фазы.
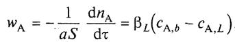
•В свою очередь скорость массоотдачи от жидкости к газу
![]() |
(24)
Где bL— коэффициент массоотдачи со стороны жидкой фазы; CAb— концентрация растворенного реагента А на границе раздела Фаз' CAL— концентрация растворенного компонента А в основной массе жидкой фазы.
При равновесии в соответствии с законом распределения
![]() |
(25)
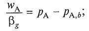
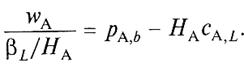
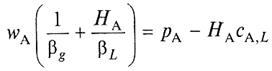
Для вывода уравнении скорости массопередачи, учитывающего сопротивление со стороны жидкой и газовой фаз, запишем уравнения (23) и (24) в следующем виде:
![]() | ![]() | ||
Почленно складывая, получим:
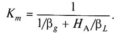
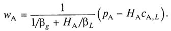
или коэффициент массопередачи
![]() |
Для определения коэффициента массопередачи Кт используют коэффициенты массоотдачи bg и bL, которые могут быть определены с помощью критериальных уравнений, описывающих абсорбционные процессы в различных аппаратах. Константа фазового равновесия HАопределяется по равновесным данным о растворимости газов.













