ПЛАН ЛЕКЦИИ
Лекция 8
Модель с фронтальным перемещением зоны реакции
Реакции и скоростей диффузионных стадий
Скорость гетерогенного процесса зависит от скоростей химической
Стадии, которая называется лимитирующей стадией
Скорость всего процесса определяется скоростью самой медленной
Гетерогенные процессы протекают на поверхности раздела фаз.
ВЫВОДЫ
3.При описании гетерогенных процессов в системе «газ – твердое
вещество» используют две модели: квазигомогенная модель и
1.Лимитирующая стадия – внутренняя диффузия (газ- твердое)
3.Гетерогенные процессы «газ- жидкость»
Процесс лимитируется внутренней диффузией. Если гетерогенный процесс лимитируется внутренней диффузией, то на этой стадии сосредоточено основное сопротивление и, как следствие, концентрация газообразного реагента меняется от СAgдо нуля на пространстве от внешней оболочки частицы до ядра
Скорость равна скорости диффузии через пористый слой твердых продуктов:
![]() |
(1)
Поверхность S, к которой отнесена скорость гетерогенного процесса при лимитировании его внутренней диффузией,— это поверхность ядра с радиусом rпри сферической форме частицы:
![]() |
(2)
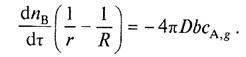
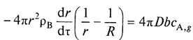
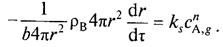
Скорость изменения размеров ядра: dnB/d t =rвd VB/dt постоянна по отношению к скорости диффузии газа, определяемой градиентом концентрации dСA/dr. Тогда уравнение (1) с учетом уравнения (2) можно записать так:
![]() |
(3)
Откуда
![]() |
(4)
•На втором этапе интегрирования будем считать, что размеры ядра меняются. Так как в соответствии с уравнением dnB/d t = rв d VB/d r), то уравнение (4) примет вид
![]() |
(5)
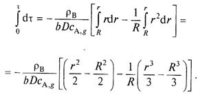
Проинтегрируем уравнение (5) по времени от = 0 (когда размер ядра равен размеру частицы, т. е. r = R) до текущего времени, при котором непрореагировавшее ядро имеет радиус r:

(6)
Преобразуя получим
![]() |
(7)
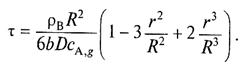
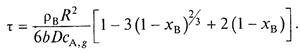
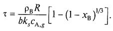
С учетом, что r3/R3 = 1 – x B– получим
![]() |
(8)
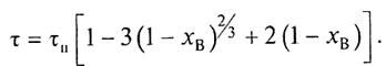
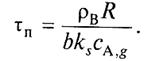
При XB= 1 уравнение (8) позволит рассчитать время полного превращении твердой частицы t при протекании гетерогенного процесса во внутреннедиффузионной области:
![]() |
(9)
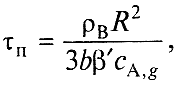
Для внутреннедиффузионной области некаталитического гетерогенного процесса
![]() |
(10)
Уравнение (9) можно преобразовать:
![]() |
(11)
Где b/ — коэффициент массоотдачи на стадии внутренней диффузии:
![]() |
(12)
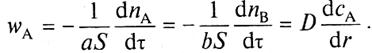
Процесс лимитируется химической реакцией. На химическую реакцию не накладывается никаких дополнительных ограничений и скорость всего гетерогенного процесса зависит только от кинетических факторов. С учетом того, что при лимитировании химической реакцией
![]() |
Получаем
(14)
Для поверхностной химической реакции первого порядка
![]() |
(15)
Заменив d nB/ dt на dr /dt, получаем
(16)
![]() |
Откуда (17)
С учетом, что r3/R3= 1 – x B– получим
(18)
При ХВ = 1
Таким образом:
Способы определения лимитирующей стадии
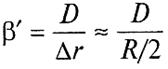
Лимитирующая стадия обладает максимальным сопротивлением. Например, если лимитирует внешняя диффузия,
![]() |
(21)
Если же коэффициенты интенсивности разных стадий — величины одного порядка, то лимитирующей стадии нет, и тогда говорят, что гетерогенный процесс протекает в переходной области.
Методы, основанные на изучении влияния параметров гетерогенного процесса на его скорость
Если гетерогенный процесс лимитируется химической реакцией, то скорость его определяется константой скорости поверхностного химического взаимодействия
Константа скорости k экспоненциально увеличивается с ростом температуры, в то время как коэффициенты массоотдачи на диффузионных стадиях и " зависят от температуры очень слабо Следовательно, если с увеличением температуры наблюдается резкий рост скорости процесса, то он протекает в кинетической области.
Скорость конвективной диффузии (внешней) очень сильно зависит от гидродинамической обстановки. Следовательно, увеличение линейной скорости газового потока относительно твердых частиц при неизменных R и Т приведет к резкому возрастанию скорости процесса, если он лимитируется внешней диффузией
Скорость внутренней диффузии должна резко увеличиться в случае измельчения твердой фазы
Методы, основанные на сравнении экспериментальных и теоретических зависимостей ХВ(t). Эта группа методов основана на сравнении экспериментально полученной кинетической зависимости степени превращения твердого реагента от времени пребывания в реакторе и теоретических зависимостей ХВ(t) для разных областей протекания гетерогенного процесса.
Гетерогенные процессы «газ—жидкость»
Газожидкостные реакции принято рассматривать как процессы абсорбции, сопровождающиеся химическим взаимодействием. Такой подход позволяет применить к этой группе химических процессов закономерности массопередачи. При этом считают, что протекание химической реакции на границе раздела газовой и жидкой фаз или в глубине жидкой фазы приводит к ускорению процесса абсорбции














