Атмосферное давление у земли непрерывно изменяется. Эти изменения обычно не превышают нескольких миллиметров ртутного столба в сутки, но иногда они могут достигать и 10–20 мм.рт.ст.(такие изменения обычно бывают при сменах барических систем, о которых будет сказано далее). Изменение давления воздуха за некоторый промежуток времени (обычно берется 3 ч)называется барической тенденцией.
Атмосферное давлением убывает с высотой в связи с уменьшением вышележащего столба воздуха. Изменение давления происходит быстрее в нижних слоях и медленнее в верхних.
Распределение давления характеризуется барическим градиентом: dp/dz,
где dp и dz - изменение давления и высоты.
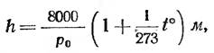
Величина обратная барическому градиенту h = dz/dp называется барической (или барометрической) ступенью.
Барическая ступень представляет собой высоту, на которую надо подняться или опуститься, чтобы давление изменилось на один миллиметр ртутного столба или один миллибар. Другими словами, барическая ступень представляет собой толщину слоя воздуха, соответствующую вертикальному изменению давления на 1 мм рт. ст. или 1 мб. Величина барической ступени h определяется по формуле

где po и t — давление и температура, соответствующие тому уровню, где определяется барическая ступень.
Из формулы видно, что чем теплее воздух, т.е. чем выше температура воздуха t°, тем большей бывает барическая ступень, и чем меньше давление (например, с увеличением высоты), тем также будет барическая ступень большей.
Если у земли р0=760 мм рт. ст., то барическая ступень при различных температурах воздуха будет следующей: t° = 20°С, h =11,4 м; t° =10°C, h = 10,9 м; t° = 0°С, h =10,5 м; t° = —10°С, h =10,1 м; t° = —20° С, h = 9,7 м.
С увеличением высоты и уменьшением давления (при давлении в миллиметрах ртутного столба и стандартных условиях) величина барической ступени на различных высотах изменяется.
Зная барическую ступень атмосферного давления, температуру воздуха и высоту над уровнем моря в одном из двух пунктов, лежащих на разной высоте, можно по разности давлений в этих пунктах определить разность их высот, а отсюда найти и высоту второго пункта над уровнем моря, Этот способ определения высоты пункта называется барометрическим нивелированием.