Рассмотрим область пространства, где есть постоянное электрическое поле с напряженностью
и постоянное магнитное поле с индукцией
, направленной перпендикулярно плоскости чертежа от наблюдателя (рис.1).

Рис.1
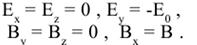
При выбранном положении системы координат будем считать:
(1)
В произвольной точке с траектории А - В на электрон, движущийся со
скоростью V, действует сила:
( 2)
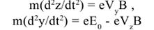
В выбранной системе координат уравнение движения электрона можно записать как:
( 3)






