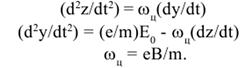
(4)
Параметр
называют угловой циклотронной частотой кругового движения электрона в однородном магнитном поле.
Если в начальный момент времени
электрон находился в начале координат (
) и имел скорость
то решая (4) с учетом поставленных условий получим:
(5)
где приняты обозначения:
(6)
Параметр
- переносная скорость поступательного движения электронов в скрещеных электрическом (
) и магнитном (
) полях.






