Рис. 8.3. Динамика развития стабильной материальной системы
Рис.З-lZ Динамика развития материальной системы
ПРОДУКЦИЯ ПИЩЕВОЙ ПРОМЫШЛЕННОСТИ.
ПРОДУКЦИЯ ПИЩЕВОЙ ПРОМЫШЛЕННОСТИ.
-91 8000 Продукция ликеро-водочной, спиртовой, пивоваренной, производства безалкогольных напитков, крахмало-паточной промышленности
-918500 Продукция производства безалкогольных напитков и минеральных вод
Вода Fanta апельсин газированная 2л ТУ 9185-437-00008064-2000
По ОКП соответствует:
-91 8000 Продукция ликеро-водочной, спиртовой, пивоваренной, производства безалкогольных напитков, крахмало-паточной промышленности
-918500 Продукция производства безалкогольных напитков и минеральных вод
Процедура принятия ТУ отличается от процедуры принятия стандартов, правил и рекомендаций. ТУ принимает их разработчик без указания срока действия. От качества ТУ как документа в большой мере зависит качество выпускаемой продукции.
ТУ – это собственность предприятия, стандарт на продукцию – документ общего пользования. Поэтому в угоду ВТО ФЗ «О техническом регулировании» введено положение о трансформировании документа «Технические условия на продукцию» на стандарт организации по аналогии с фирменными стандартами, действующими в зарубежных странах.
|
|
|
Литература:
1. «ГОСТ Р 1.5-2004 Стандартизация в Российской Федерации. Стандарты национальные российской федерации. Правила построения, изложения, оформления и обозначения»
2. «ГОСТ 1.5-2001 Межгосударственная система стандартизации. Стандарты межгосударственные, правила и рекомендации по межгосударственной стандартизации. Общие требования к построению, изложению, оформлению, содержанию и обозначению»
3. БЕРНОВСКИЙ Ю. Н. //Стандарты и качество - 2003, №10 ]
Восемь этапов включают как прогрессивное, так и регрессивное развитие. Тангенс угла наклона кривой на этапах внедрения, роста, зрелости спада и краха определяет принадлежность развития к эволюционной или революционной форме, спаду или подъему. Значения угла в диапазоне 50 — 60° свидетельствует о революционной форме развития, диапазон 10 — 30° — эволюционной форме развития, промежуточный диапазон 30 — 50° — это период постепенного перехода к перечисленным формам, диапазон 0 — 10° — это стабилизация или изменение запасов. Положительное значение тангенса свидетельствует о подъеме, а отрицательное — о спаде.
| З |
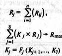
акон развития формулируется так: каждая материальная система стремится достичь наибольшего суммарного потенциала при прохождении всех этапов жизненного цикла. В аналитическом виде данный закон записывается:
(1)
где Rj — потенциал системы на этапе j жизненного цикла;
|
|
|
R,Rij— потенциал (ресурс) системы в области i (экономика, политика, финансы) и на этапе у;
Kj-- — весовой коэффициент влияния каждого предыдущего потенциала этапа на последующие;
Fj - функция этого влияния;
Rmax - — запланированные результаты по конкретным видам деятельности (в бизнес-плане или в других документах).
Первая формула в соотношении (1) рассчитывает потенциал системы на каждом этапе жизненного цикла. Как уже упоминалось основу потенциала организации составляют материальные и нематериальные ресурсы. Вторая и третья формулы в соотношении (1) определяют наиболее приемлемый коэффициент влияния Кj каждого предыдущего потенциала этапа на последующие путем подбора функции Fj. Конкретные данные по этим формулам рассчитываются симплекс-методом и методом наименьших квадратов (в целом механизм вычисления по соотношению (1) еще не разработан).
Закон развития опирается на ряд принципов: инерции, эластичности, непрерывности и стабилизации.
Принцип инерции (или запаздывания) состоит в том, что изменение потенциала системы Rj начинается спустя некоторое время (7з) после начала воздействий изменений во внешней или внутренней среде и продолжается некоторое время (7п) после их окончания (рис. 3.13).

Рис.8.2. Потенциал системы при воздействии Т, - время запаздывания, Т - время продолжения
В организациях инерция проявляется в функционировании устаревшего оборудования, в использовании устаревших знаний и навыков, в деятельности отживших организационных структур. Инерция очень свойственна человеку независимо от его возраста. Она проявляется в традициях, обрядах, стереотипах мышления, нормах поведения.
Принцип эластичности состоит в том, что скорость (Сп) изменения потенциала системы Rj зависит от самого потенциала Rj, т. е.:
Cп = F(Rj).(2)
Скорость изменения потенциала или суммы ресурсов определяется углом подъема или спада кривой изменения ресурса в зоне эластичности (рис.1.8). Если угол малый, то говорят о малой эластичности системы, т. е. система не очень восприимчива к воздействиям и малые воздействия могут пройти мимо нее незаметно. Если угол большой, то говорят о большой эластичности системы, ее активной восприимчивости. На практике эластичность системы оценивают в сравнении с другими системами исходя из статистических данных или классификаций.
Разные организации по-разному реагируют на одни и те же события в зависимости от профессионализма персонала, технического, организационного и культурного уровня самой организации.
Примеры поведения организаций с высокой эластичностью:
• при скачкообразном увеличении спроса на продукцию организация быстро задействует резервные мощности и привлекает смежные организации;
• при резком долговременном уменьшении спроса на продукцию работники организации в короткие сроки разработали, освоили и стали выпускать новую продукцию, пользующуюся большим спросом.
В табл. 3.8 приведены факторы, способствующие увеличению или уменьшению эластичности в организации.
Таблица 3.8. Факторы влияющие на эластичность организации
| Эластичность организации | |
| Увеличение | Уменьшение |
| Университетская подготовка | Профессиональная подготовка |
| основного персонала | основного персонала |
| Универсализация производства | Специализация производства |
| Резервирование (страхование) | Работа на всех производствен |
| ных мощностях | |
| Изоляция от внешней среды | Сильная зависимость от внеш |
| (создание собственной инфра | ней среды |
| структуры) | |
| Унификация изделий и их со- | Полная свобода на габариты и |
| стыковка с другими | характеристики изделий |
| Введение ГОСТов и ОСТов | Отсутствие обязательных норм |
| Ротация кадров | Сокращение текучести кадров |
Принцип непрерывности состоит в том, что процесс изменения потенциала системы Rj идет непрерывно, меняются лишь скорость и знак изменения. Кажущаяся дискретность (прерывистость) изменения потенциала системы часто объясняется взглядом со стороны, когда не замечается текущая работа, приводящая (трансформирующаяся) к новому качеству или количеству.
|
|
|
Например, организация 28 марта получила кредит на 2 млн. руб., который был зачислен на ее расчетный счет в банке. Увеличился ли ее потенциал? Конечно нет, так как в строке баланса «кредиторская задолженность» появляется число 2 млн. руб.
Однако если организация будет успешно использовать этот кредит, то ее потенциал будет постепенно (непрерывно) расти.
Принцип стабилизации состоит в том, что система стремится к стабилизации диапазона изменения потенциала системы Rj. Этот принцип основан на известной потребности человека и общества к стабильности.
На рис. 8.1. ресурс системы претерпевал значительные изменения, а в конце, на этапах краха и ликвидации, ресурс уменьшается до нуля. Улучшение работы организации и расширение этапа стабилизации должно проводиться профессионально за счет ряда факторов, в том числе за счет подключения новых ресурсов на каждом этапе развития продукции (рис. 8.3), в котором для простоты использованы только три этапа жизненного цикла: внедрение (Э2), насыщение (Э5) и спад (Э6)).
Стабилизация осуществляется включением новой продукции в деятельность организации. Так, не дожидаясь спада продукции А, необходимо включить в деятельность организации новую продукцию Б, а затем аналогично продукцию В и продукцию Г.

При этом образуется зона стабилизации ресурсов, обозначенная на рисунке жирными линиями.
Исходя из рассмотренного принципа для стабилизации профессионального уровня персонала организации необходимо создать систему постоянно го обучения сотрудников. Если такого обучения нет, то этот процесс все равно будет идти, но спонтанно и неэффективно.
Специальные виды страхования также могут использоваться для стабилизации потенциала организации (см. тему5).
|
|
|
Успешное развитие и рост организации могут привести к синдрому большого бизнеса, который характеризуют следующие признаки:
• крайне централизованный и разбухший аппарат управления;
• всеохватывающая система специальных форм и процедур для принятия обычных, повседневных решений;
• рост числа всякого рода совещаний для выработки таких решений;
• передача решений и ответственности из одного отдела в другой.
Итак, результатом прогрессивного развития может стать синдром большого бизнеса. Снять этот синдром позволяют методы регрессивного развития (см. начало данного параграфа) путем движения назад к более простым структурам. Здесь можно привести известную поговорку о том, что «лучшее — враг хорошего».
Закон развития относится к объективным законам организации. Поэтому в практике его реализации имеются три варианта.
В информатике решение любой производственной или научной задачи описывается следующей технологической цепочкой: «реальный объект – модель – алгоритм – программа – тестирование – результаты – описание технологии работы программы – реальный объект». В этой цепочке очень важную роль играет звено «модель», как необходимый и обязательный этап решения задачи.






