Общий уровень цен в национальной экономике выражает относительное изменение среднего уровня цен на товары и услуги за определенный период времени и подсчитывается на основе определения индексов цен. Индекс цен характеризует темпы роста или падения цен, т.е. во сколько раз растут или снижаются в среднем цены. Различают несколько видов индексов цен:
1) дефлятор ВВП (см. п. 2.2);
2) индекс цен производственных товаров (индекс оптовых цен или инвестиционных товаров);
3) индекс потребительских цен, который рассчитывается на основе определения стоимости потребительской корзины, состоящей из наиболее потребляемых товаров и услуг. Этот индекс используется для определения динамики реальной заработной платы работников и реальных доходов населения с целью определения изменения их жизненного уровня.
Индексы цен рассчитываются тремя способами:
1) на основе формулы (индекса) Ласпейреса путем сравнения цен текущего (p 1) и базового периодов (p 0) на одинаковый набор товаров (товарную корзину) – q 0. Индекс Ласпейреса показывает, насколько фиксированная товарная корзина базового периода становится дороже в текущем периоде:
|
|
|
(1)
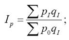
2) на основе формулы (индекса) Пааше. Индекс Пааше показывает, во сколько раз фиксированная товарная корзина текущего периода (q 1) дороже или дешевле, чем в базовом периоде:
(2)
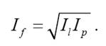
3) на основе индекса Фишера. Первые два рассмотренных индекса имеют недостаток: в них не учитываются изменения номенклатуры потребительских товаров и услуг. Если индекс Ласпейреса несколько завышает рост цен, то индекс Пааше его занижает. С целью более точного отражения динамики цен и, соответственно, динамики стоимости жизни (реальные затраты потребителей на приобретение определенных товаров и услуг) используют индекс Фишера, который представляет собой геометрическую среднюю из индекса Ласпейреса и индекса Пааше:
(3)
Индексный метод используется и при исчислении уровня инфляции. В отличие от индексов цен он показывает не темпы роста (во сколько раз), а темпы прироста (на сколько процентов) цен за определенный период (за год):
(4)
где УИ – уровень инфляции; I ц – индекс цен.






