М.10.8. Какой вид имеет уравнение фильтрационной консолидации для одномерной задачи и пространственной (трехмерной) задачи?
Уравнение для одномерной задачи следующее:

Для пространственной задачи оно имеет вид

где cV - коэффициент консолидации;
- поровое давление.
Как видно из этих уравнений, оба они линейные относительно
.
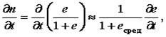
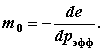
Уравнения, приведенные в п.М.10.8, линейные. Однако при их выводе пришлось прибегнуть к допущениям. Одно из них заключается в следующем. Уравнение фильтрационной консолидации линеаризуется с помощью того, что используется среднее значение коэффициента пористости e сред, поэтому

и принимается линейная зависимость между приращениями коэффициента пористости и эффективного давления (закон пористости)







