М.10.6. Какие случаи изменения полного давления (эпюры напряжений s z) рассмотрены на практике и являются типовыми?
М.10.5. Какие напряжения вызывают сжатие грунта?
М.10.4. В чем заключаются предпосылки теории фильтрационной консолидации?
Предпосылки теории фильтрационной консолидации сводятся к следующему:
- скелет грунта линейно-деформируемый, деформируется мгновенно после приложения к нему нагрузки и вязкими связями не обладает;
- структурной прочностью грунт не обладает, давление в первый момент полностью передается на воду;
- грунт полностью водонасыщен, вода и скелет объемно несжимаемы, вся вода в грунте гидравлически непрерывна;
- фильтрация подчиняется закону Дарси.
Только эффективные, то есть передающиеся на скелет грунта. Нейтральное давление на сжатие грунта не влияет.
Рассмотрены три случая:
1) эпюра прямоугольная;
2) эпюра треугольная с вершиной вверху, у границы (имеется в виду сжатие грунта от собственного веса);
3) эпюра треугольная с вершиной внизу и конечной ординатой вверху (эта эпюра соответствует способу эквивалентного слоя).
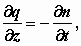
Это уравнение для одномерного случая имеет вид

где q - единичный расход фильтрующейся воды (скорость), м/с; n - пористость грунта; z - координата (вдоль оси z происходит фильтрация), м; t - время, с.
Это - уравнение неразрывности (сплошности).






