Коэффициент консолидации

и имеет размерность м2/с. Он указывает на скорость прохождения процесса консолидации - чем больше коэффициент консолидации, тем быстрее она проходит.
М.10.11*. Какой порядок имеет уравнение фильтрационной консолидации и к какому типу дифференциальных уравнений оно принадлежит?
Уравнение Фурье линейное, второго порядка и параболического типа. Оно является уравнением, описывающим нестационарный процесс, так как содержит время.
М.10.12*. В чем состоит метод Фурье решения уравнения теории фильтрационной консолидации?
Метод Фурье состоит в следующем. Поскольку основное уравнение линейное и содержит два переменных аргумента (координаты и время), то решением его будет сумма частных решений. Частные решения отыскиваются в виде произведения двух неизвестных функций - одной от координаты, другой от времени. В результате мы получаем уравнение, распадающееся на два обыкновенных дифференциальных уравнения, которые легко интегрируются. Дальнейшая задача связана с определением постоянных интегрирования исходя из граничных и начального условий.
М.10.13*. Какие граничные и начальное условия ставятся для слоя глинистого грунта?
Начальное условие: при t = 0 имеем p = p пор, а p эфф = 0, то есть в первый момент все давление передается на воду, а на скелет не передается.
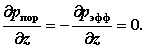
Граничные условия в задаче о слое грунта, лежащем на водоупоре, сводятся к тому, что: 1) на верхней границе полное давление равно эффективному, то есть при z = 0 и t >0 имеем p эфф = p, p пор = 0; 2) на нижней границе имеем нулевой градиент, то есть при z = h имеем

М.10.14*. В чем заключается некорректность в постановке граничных условий для слоя глинистого грунта?
Незначительная некорректность заключается в рассмотрении начального момента времени t = 0 и верхней границы z = 0. С одной стороны, исходя из начального условия при t = 0 на верхней границе p пор = p, но в то же время на верхней границе при z = 0 должно быть p эфф = p. Поэтому приходится граничное условие рассматривать при t >0, но не при t = 0.






