Какие уравнения удовлетворяются и какие не удовлетворяются в способе круглоцилиндрических поверхностей?
В способе круглоцилиндрических поверхностей полностью не удовлетворяются условия равновесия для проекций на оси (вертикальную и горизонтальную), так как нормальная по отношению к дуге окружности составляющая равнодействующей нагрузки умножается на коэффициент внутреннего трения и этим она переводится в касательную компоненту, в то время как фактически вдоль поверхности мобилизуется не все трение, а только часть его. То же самое делается и с силами сцепления, действующими вдоль потенциальной поверхности скольжения, которые мобилизуются лишь частично. Поэтому этот способ следует рассматривать как инженерный и недостаточно строгий.
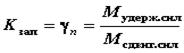
Эта формула для способа круглоцилиндрических поверхностей имеет следующий вид:
.
От радиуса отношение моментов сил, входящих в эту формулу, формально не зависит, однако когда отыскивается минимальное значение величины K зап=g n, то устанавливаются и радиус, и положение центра дуги, отвечающие условию этого минимума.
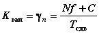
М.12.17*. Каким образом рассчитывается устойчивость на сдвиг по плоскости контакта сооружения с основанием?

Если не учитывается величина отпора грунта со стороны, куда направлен сдвиг, то подсчитывается вертикальная составляющая действующих сил N (рис.М.12.17), затем она умножается на коэффициент трения f и добавляются силы сцепления по контакту C. После этого получившееся максимально возможное значение силы сопротивления делится на величину сдвигающей силы T сдв и тем самым находится величина коэффициента запаса (надежности), то есть
.






