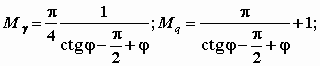
М.12.9. Какой вид имеет обобщенная формула Пузыревского-Герсеванова? В виде скольких слагаемых ее можно представить? Чему равны коэффициенты формулы Mg,Mq,Mc и от чего они зависят? Чему равна величина zmax по Пузыревскому-Герсеванову и по СНиП?
Обобщенная формула Пузыревского-Герсеванова имеет следующий вид

Коэффициенты равны

g
При выводе коэффициента Мg согласно СНиП принимается z max= b/ 4, коэффициенты Мg, Мq и Мc зависят только от угла внутреннего трения грунта j. У Герсеванова и Пузыревского было принято, что z max= 0.

Считатется, что области пластических деформаций зарождаются у краев фундамента; далее с ростом нагрузки они распространяются вглубь и начинают заходить под фундамент (рис.М12.10). Наконец, при нагрузке, достигающей несущей способности основания, обе области пластических деформаций смыкаются на оси фундамента и происходит резкое проседание его вниз.
М.12.11*. Какой вид имеет схема расчета несущей способности основания "по Прандтлю"? Что называется "упругим ядром" и где оно находится?
При расчете величины несущей способности "по Прандтлю" предполагается существование трех зон: зоны с максимально напряженным состоянием I (или зоны пассивного давления), зоны с минимально напряженным состоянием II (или зоны активного давления) и переходной между ними зоны III, позволяющей получить плавное изменение напряжений без скачков в них. При этом предполагается, что нагрузка является равномерной и не имеет горизонтальной составляющей. В действительности мы прикладываем нагрузку с помощью жесткого шероховатого штампа, поэтому непосредственно под ним вместо зоны с минимально напряженным предельным состоянием формируется зона, в которой нет предельного состояния и которая как бы сливается со штампом, составляя с ним одно целое. Эта зона называется "упругим" или "жестким" ядром (рис.М.12.11).
|
| Рис.М.12.11. Очертание различных по характеру напряженного состояния предельных зон по схеме Прандтля |






