В исследовании, посвященном проблемам ценностной реориента-ции, выявлялись иерархии терминальных ценностей по методике М. Рокича у родителей и их взрослых детей (Сидоренко Е.В., 1996). Ранги терминальных ценностей, полученные при обследовании пары мать-дочь (матери - 66 лет, дочери - 42 года) представлены в Табл. 6.4. Попытаемся определить, как эти ценностные иерархии коррелируют друг с другом.
Таблица 6.4
Ранги терминальных ценностей по списку М.Рокича в индивидуальных иерархиях матери и дочери
| Ряд1: | Ряд 2: | |||
| Терминальные ценности | Ранг ценностей в | Ранг ценностей в | d | d2 |
| иерархии матери | иерархии дочери | |||
| 1 Активная деятельная жизнь | ||||
| 2 Жизненная мудрость | -2 | |||
| 3 Здоровье | -7 | |||
| 4 Интересная работа | -4 | |||
| 5 Красота природы и искусство | -1 | |||
| 6 Любовь | ||||
| 7 Материально обеспеченная жизнь | -1 | |||
| 8 Наличие хороших и верных друзей | -2 | |||
| 9 Общественное признание | ||||
| 10 Познание | ||||
| 11 Продуктивная жнзнь | ||||
| 12 Развитие | -2 | |||
| 13 Развлечения | ||||
| 14 Свобода | -2 | |||
| 15 Счастливая семейная жизнь | ||||
| 16 Счастье других | -2 | |||
| 17 Творчество | ||||
| 18 Уверенность в себе | -4 | |||
| Суммы |
Сформулируем гипотезы.
H0: Корреляция между иерархиями терминальных ценностей матери и дочери не отличается от нуля.
H1: Корреляция между иерархиями терминальных ценностей матери и дочери статистически значимо отличается от нуля.
Поскольку ранжирование ценностей предполагается самой процедурой исследования, нам остается лишь подсчитать разности между рангами 18 ценностей в двух иерархиях. В 3-м и 4-м столбцах Табл. 6.4 представлены разности d и квадраты этих разностей d [2].
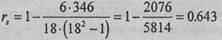
Определяем эмпирическое значение rs по формуле:

где d - разности между рангами по каждой из переменных, в данном случае по каждой из терминальных ценностей;
N - количество переменных, образующих иерархию, в данном случае количество ценностей.
Для данного примера:

По Табл. XVI Приложения 1 определяем критические значения:

Ответ: H0 отвергается. Принимается H1. Корреляция между иерархиями терминальных ценностей матери и дочери статистически значима (р<0,01) и является положительной.
По данным Табл. 6.4 мы можем определить, что основные расхождения приходятся на ценности "Счастливая семейная жизнь", "Общественное признание" и "Здоровье", ранги остальных ценностей достаточно близки.






