АЛГОРИТМ 20
1. Определить, какие два признака или две иерархии признаков будут участвовать в сопоставлении как переменные А и В.
2. Проранжировать значения переменной А, начисляя ранг 1 наименьшему значению, в соответствии с правилами ранжирования (см. п.2.3). Занести ранги в первый столбец таблицы по порядку номеров испытуемых или признаков.
3. Проранжировать значения переменной В, в соответствии с теми же правилами. Занести ранги во второй столбец таблицы по порядку номеров испытуемых или признаков.
4. Подсчитать разности d между рангами А и В по каждой строке таблицы и занести в третий столбец таблицы.
5. Возвести каждую разность в квадрат: d2. Эти значения занести в четвертый столбец таблицы.
6. Подсчитать сумму квадратов ∑ d 2.
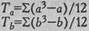
7. При наличии одинаковых рангов рассчитать поправки:

где а - объем каждой группы одинаковых рангов в ранговом ряду А;
b - объем каждой группы одинаковых рангов в ранговом ряду В.
8. Рассчитать коэффициент ранговой корреляции г5 по формуле:
а) при отсутствии одинаковых рангов

б) при наличии одинаковых рангов

где ∑ d 2 - сумма квадратов разностей между рангами*
Та и Tb, - поправки на одинаковые ранги;
N - количество испытуемых или признаков, участвовавших в ранжировании.
9. Определить по Табл. XVI Приложения 1 критические значения гs для данного N. Если rs превышает критическое значение или по крайней мере равен ему, корреляция достоверно отличается от 0.
[1] Стохастическая означает вероятностная. Связи между случайными явлениями называют вероятностными, или стохастическими связями (Суходольский Г. В., 1972, с. 52). Этот термин подчеркивает их отличие от детерминированных или функциональных связей в физике или математике (связь площади треугольника с его высотой и основанием, связь длины окружности с ее радиусом и т. п.). В функциональных связях каждому значению первого признака всегда соответствует (в идеальных условиях) совершенно определенное значение другого признака (Плохинский Н.А., 1970, с. 41). В корреляционных связях каждому значению одного признака может соответствовать определенное распределение значений другого, признака, но не определенное его значение.
[2] Обычно рекомендуется всегда меньшему значению приписывать меньший ранг (см. Пример 1). В данном случае самая значимая ценность получает меньший ранг. Для подсчета коэффициента это несущественно. Главное, чтобы ранжирование было в обоих рядах однонаправленным.
[3] В исследовании М.Э. Раховой были выявлены виды страха, отсутствующие в перечне Вольпе, например, страх за благополучие близких (1-й ранг), неизвестности (5-й ранг), нападения (8-й ранг) и др. Однако в данном примере в ранжировании участвуют только 20 страхов из перечня Вольпе, поскольку мы можем подсчитывать коэффициент корреляции лишь между теми признаками, которые измерены в обеих выборках.
[4] Введение этого условия диктовалось тем, что в непосредственно предшествовавших исследованию выборах 52% электората составляли лица старше 55 лет.






