Выборке петербуржцев в возрасте от 20 до 78 лет (31 мужчина, 46 женщин), уравновешенной по возрасту таким образом, что лица в возрасте старше 55 лет составляли в ней 50%[4], предлагалось ответить на вопрос: "Какой уровень развития каждого из перечисленных ниже качеств необходим для депутата Городского собрания Санкт-Петербурга?" (Сидоренко Е.В., Дерманова И.Б., Анисимова О.М., Витенберг Е.В., Шульга А.П., 1994). Оценка производилась по 10-балльной шкале. Параллельно с этим обследовалась выборка из депутатов и кандидатов в депутаты в Городское собрание Санкт-Петербурга (n=14). Индивидуальная диагностика политических деятелей и претендентов производилась с помощью Оксфордской системы экспресс-видеодиагностики по тому же набору личностных качеств, который предъявлялся выборке избирателей.
В Табл. 6.6 представлены средние значения, полученные для каждого из качеств в выборке избирателей ("эталонный ряд") и индивидуальные значения одного из депутатов Городского собрания.
Попытаемся определить, насколько индивидуальный профиль депутата К-ва коррелирует с эталонным профилем.
Таблица 6.6
Усредненные эталонные оценки избирателей (п=77) и индивидуальные показатели депутата К-ва по 18 личностным качествам экспресс-видеодиагностики
| Наименование качества | Усредненные эталонные оценки избирателей | Индивидуальные показатели депутата К-ва | |
| 1. Общий уровень культуры | 8,64 | ||
| 2. Обучаемость | 7,89 | ||
| 3. Логика | 8,38 | ||
| 4. Способность к творчеству нового | 6,97 | ||
| 5.. Самокритичность | 8,28 | ||
| 6. Ответственность | 9,56 | ||
| 7. Самостоятельность | 8,12 | ||
| 8. Энергия, активность | 8,41 | ||
| 9. Целеустремленность | 8,00 | ||
| 10. Выдержка, самообладание | 8,71 | ||
| И. Стойкость | 7,74 | ||
| 12. Личностная зрелость | 8,10 | ||
| 13. Порядочность | 9,02 | ||
| 14. Гуманизм | 7.89 | ||
| 15. Умение общаться с людьми | 8,74 | ||
| 16. Терпимость к чужому мнению | 7.84 | ||
| 17. Гибкость поведения | 7,67 | ||
| 18. Способность производить благоприятное впечатление | 7,23 | ||
Таблица 6.7
Расчет d2 для рангового коэффициента корреляции Спирмена между эталонным и индивидуальным профилями личностных качеств депутата
| Наименование качества | Ряд 1: ранг качества в эталонном профиле | Ряд 2: ранг качества в индивидуальном профиле | d | d2 | ||||
| 1 Ответственность | -1 | |||||||
| 2 Порядочность | 8,5 | -6,5 | 42,25 | |||||
| 3 Умение общаться с людьми | 13,5 | -10,5 | 110,25 | |||||
| 4 Выдержка, самообладание | -8 | |||||||
| 5 Общий уровень культуры | ||||||||
| 6 Энергия, активность | ||||||||
| 7 Логика | 8,5 | -1,5 | 2,25 | |||||
| 8 Самокритичность | ||||||||
| 9 Самостоятельность | ||||||||
| 10 Личностная зрелость | ||||||||
| И Целеустремленность | И | |||||||
| 12 Обучаемость | 12,5 | -2,5 | 6,25 | |||||
| 13 Гуманизм | 12,5 | И | 1,5 | 2,25 | ||||
| 14 Терпимость к чужому мнению | -2 | |||||||
| 15 Стойкость | ||||||||
| 16 Гибкость поведения | -2 | |||||||
| 17 Способность производить благоприятное впечатление | 13,5 | 3,5 | 12,25 | |||||
| 18 Способность к творчеству нового | 18. | |||||||
| Суммы | 487,5 | |||||||
Как видно из Табл. 6.6, оценки избирателей и индивидуальные показатели депутата варьируют в разных диапазонах. Действительно оценки избирателей были получены по 10-балльной шкале, а индивидуальные показатели по экспресс-видеодиагностике измеряются по 20-ти балльной шкале. Ранжирование позволяет нам перевести обе шкалы измерения в единую шкалу, где единицей измерения будет 1 ранг, а максимальное значение составит 18 рангов.
Ранжирование, как мы помним, необходимо произвести отдельно по каждому ряду значений. В данном случае целесообразно начислять большему значению меньший ранг, чтобы сразу можно было увидеть, на каком месте по значимости (для избирателей) или по выраженности (у депутата) находится то или иное качество.
Результаты ранжирования представлены в Табл. 6.7. Качества перечислены в последовательности, отражающей эталонный профиль.
Сформулируем гипотезы.
H0: Корреляция между индивидуальным профилем депутата К-ва и эталонным профилем, построенным по оценкам избирателей, не отличается от нуля.
H1: Корреляция между индивидуальным профилем депутата К-ва и эталонным профилем, построенным по оценкам избирателей, статистически значимо отличается от нуля. Поскольку в обоих сопоставляемых ранговых рядах присутствуют
группы одинаковых рангов, перед подсчетом коэффициента ранговой
корреляции необходимо внести поправки на одинаковые ранги Та и Тb:

где а - объем каждой группы одинаковых рангов в ранговом ряду А,
b - объем каждой группы одинаковых рангов в ранговом ряду В.
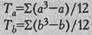
В данном случае, в ряду А (эталонный профиль) присутствует одна группа одинаковых рангов - качества "обучаемость" и "гуманизм" имеют один и тот же ранг 12,5; следовательно, а =2.
Tа=(23-2)/12=0,50.
В ряду В (индивидуальный профиль) присутствует две группы одинаковых рангов, при этом b1=2 и b2=2.
Ta=[(23-2)+(23-2)]/12=1,00
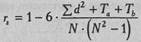
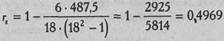
Для подсчета эмпирического значения rs используем формулу

В данном случае:

Заметим, что если бы поправка на одинаковые ранги нами не вносилась, то величина rs была бы лишь на (на 0,0002) выше:

При больших количествах одинаковых рангов изменения г5 могут оказаться гораздо более существенными. Наличие одинаковых рангов означает меньшую степень дифференцированное™ упорядоченных переменных и, следовательно, меньшую возможность оценить степень связи между ними (Суходольский Г.В., 1972, с.76).
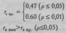
По Табл. XVI Приложения 1 определяем критические значения г, при N=18:

Ответ: Hq отвергается. Корреляция между индивидуальным профилем депутата К-ва и эталонным профилем, отвечающим требованиям избирателей, статистически значима (р<0,05) и является положительной.
Из Табл. 6.7 видно, что депутат К-в имеет более низкий ранг по шкалам Умения общаться с людьми и более высокие ранги по шкалам Целеустремленности и Стойкости, чем это предписывается избирательским эталоном. Этими расхождениями, главным образом, и объясняется некоторое снижение полученного rs.
Сформулируем общий алгоритм подсчета rs.






