ЛЕКЦИЯ 12
Литература.
- В.А.Гавриленко. Зубчатые передачи в машиностроении (Теория эвольвентных зубчатых передач). М.: Машгиз - 1962, 530 стр., илл.
- Ф.Л.Литвин Теория зубчатых зацеплений. Изд. 2-е, перераб. и доп. М.: - Наука - 1968, 584 стр., илл.
Краткое содержание: Эвольвентное зубчатое колесо и его параметры. Толщина зуба колеса по окружности произвольного радиуса. Методы изготовления эвольвентных зубчатых колес. Понятие о исходном, исходном производящем и производящем контурах. Станочное зацепление. Основные размеры зубчатого колеса. Виды зубчатых колес. Подрезание и заострение колеса. Понятие о области существования зубчатого колеса. Эвольвентная цилиндрическая зубчатая передача и ее параметры. Основные уравнения эвольвентного зацепления.
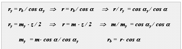
Эвольвентным зубчатым колесом называют звено зубчатого механизма, снабженное замкнутой системой зубьев. При проектировании зубчатого колеса вначале нужно определить его число зубьев z, а затем определить параметры зубьев. Для этого нужно произвольную окружность колеса ry разделить на z частей, каждая из которых называется окружным шагом py.
2*p * ry = py* z => 2* ry = (py/p)* z = my* z = dy,
где my= py /p = dy / z - модуль зацепления по окружности произвольного радиуса.
|
Модулем зацепления называется линейная величина в p раз меньшая окружного шага или отношение шага по любой концентрической окружности зубчатого колеса к p. В зависимости от окружности по которой определен модуль различают делительный, основной, начальный. Для косозубых колес еще и нормальный, торцевой и осевой модули. В ряде стран используется величина обратная модулю, которая называется питчем. Питч (диаметральный) - число зубьев колеса, приходящееся на дюйм диаметра. Исходя из этого модуль можно определить как число милиметров диаметра, приходящееся на один зуб. На колесе можно провести бесчисленное число окружностей на каждой из которых будет свой модуль. Для ограничения этого числа ГОСТом введен стандартный ряд модулей. Стандартной модуль определяется по окружности называемой делительной. Точнее делительной называется такая окружность зубчатого колеса, на которой модуль и шаг принимают стандартное значение. Окружным шагом или шагом называется расстояние по дуге окружности между одноименными точками профилей соседних зубьев (под одноименными понимаются правые или левые профили зуба). Угловой шаг t - центральный угол соответствующий дуге p - окружному шагу по делительной окружности.
Примечание: Согласно ГОСТ основные элементы зубчатого колеса обозначаются по следующим правилам: линейные величины - строчными буквами латинского алфавита, угловые - греческими буками; установлены индексы для величин:
- по окружностям: делительной - без индекса, вершин - a, впадин - f, основная - b, начальная - w , нижних точек активных профилей колес - p , граничных точек - l;
- по сечениям: нормальное сечение - n, торцевое сечение - t , осевое сечение - x;
- относящихся к зуборезному инструменту - 0.
Для параметров зубчатого колеса справедливы следующие соотношения
dy = my* z - диаметр окружности произвольного радиуса,
d = m* z - диаметр делительной окружности,
py = my* p - шаг по окружности произвольного радиуса,
p = m* p - шаг по делительной окружности,
|
где a - угол профиля на делительной окружности,
a y - угол профиля на окружности произвольного радиуса.
Углом профиля называется острый угол между касательной к профилю в данной точки и радиусом - вектором, проведенным в данную точку из центра колеса.
Шаг колеса делится на толщину зуба sy и ширину впадины ey. Толщина зуба sy - расстояние по дуге окружности ry между разноименными точками профилей зуба. Ширина впадины ey - расстояние по дуге окружности ry между разноименными точками профилей соседних зубьев.
На основной окружности a b=> 0 и cos a b=> 1, тогда
mb = m* cos a =>pb = p * m* cos a.
В зависимости от соотношения между толщиной зуба и шириной впадины на делительной окружности зубчатые колеса делятся на:
нулевые s = e = p * m / 2, D = 0;
положительные s > e, =>D > 0;
отрицательные s < e, => D < 0;
где D - коэффициент изменения толщины зуба (отношение приращения толщины зуба к модулю). Тогда толщину зуба по делительной окружности можно записать
s = (p * m / 2) + D * m = m*[(p / 2) + D ].
Более подробно познакомиться с основными определениями и расчетными зависимостями можно в литературе [ 11.1 ] и в ГОСТ 16530-83.






