3. Закон информированности – упорядоченности: управленческая информация
Развитие — это необратимое, направленное, закономерное изменение материи и сознания. Различают две формы развития:
• эволюционную, связанную с постепенными количественными и качественными изменениями (изменение сознания сочетается с изменениями материи);
• революционную, характеризующуюся скачкообразным неосознанным переходом от одного состояния материи к другому, либо скачкообразным изменением сознания без соответствующего изменения базиса. Выделяют прогрессивное и регрессивное развитие. Прогрессивное развитие — это переход от низшего к высшему, от менее к более совершенному, регрессивное — это деградация, понижение уровня знаний и отношений, переход к изжившим себя ранее или уже пройденным формам и структурам.
Прогресс и регресс тесно связаны между собой и составляют диалектическое единство. Без регресса нет прогресса, а без прогресса нет регресса.
Развитие организаций обусловлено следующими факторами:
|
|
|
• изменениями внешней среды (экономика, политика, этика, культура и др.),
• изменениями внутренней среды (перемещения работников, переход на новые технологии и др.);
• потребностями и интересами человека и общества (потребность в самовыражении и само проявлен и и человека, потребность в прибавочном продукте общества и др.);
• старением и износом материальных элементов (оборудования, человека, технологии);
• изменениями экологии (загрязнение или очищение среды, сокращение или увеличение флоры и фауны);
• техническим прогрессом;
• глобальным состоянием мировой цивилизации. Развитие основано на жизненном цикле любой материальной системы (рис. 3.12), который включает восемь взаимосвязанных этапов: порог нечувствительности (Э1), внедрение (Э2), рост (Эз), зрелость (Э4), насыщение (Э5), спад (Э6), крах (Э7) и ликвидация или утилизация (Э8) (рис. 3.12).

Рис.8.1. Динамика развития материальной системы
Рис.З-lZ Динамика развития материальной системы
Восемь этапов включают как прогрессивное, так и регрессивное развитие. Тангенс угла наклона кривой на этапах внедрения, роста, зрелости спада и краха определяет принадлежность развития к эволюционной или революционной форме, спаду или подъему. Значения угла в диапазоне 50 — 60° свидетельствует о революционной форме развития, диапазон 10 — 30° — эволюционной форме развития, промежуточный диапазон 30 — 50° — это период постепенного перехода к перечисленным формам, диапазон 0 — 10° — это стабилизация или изменение запасов. Положительное значение тангенса свидетельствует о подъеме, а отрицательное — о спаде.
|
|
|
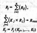
Закон развития формулируется так: каждая материальная система стремится достичь наибольшего суммарного потенциала при прохождении всех этапов жизненного цикла. В аналитическом виде данный закон записывается:
(1)
где Rj — потенциал системы на этапе j жизненного цикла;
R,Rij— потенциал (ресурс) системы в области i (экономика, политика, финансы) и на этапе у;
Kj -- — весовой коэффициент влияния каждого предыдущего потенциала этапа на последующие;
Fj - функция этого влияния;
Rmax -— запланированные результаты по конкретным видам деятельности (в бизнес-плане или в других документах).
Первая формула в соотношении (1) рассчитывает потенциал системы на каждом этапе жизненного цикла. Как уже упоминалось основу потенциала организации составляют материальные и нематериальные ресурсы. Вторая и третья формулы в соотношении (1) определяют наиболее приемлемый коэффициент влияния Кj каждого предыдущего потенциала этапа на последующие путем подбора функции Fj. Конкретные данные по этим формулам рассчитываются симплекс-методом и методом наименьших квадратов (в целом механизм вычисления по соотношению (1) еще не разработан).
Закон развития опирается на ряд принципов: инерции, эластичности, непрерывности и стабилизации.
Принцип инерции (или запаздывания) состоит в том, что изменение потенциала системы Rj начинается спустя некоторое время (7з) после начала воздействий изменений во внешней или внутренней среде и продолжается некоторое время (7п) после их окончания (рис. 3.13).

Рис.8.2. Потенциал системы при воздействии Т, - время запаздывания, Т - время продолжения
В организациях инерция проявляется в функционировании устаревшего оборудования, в использовании устаревших знаний и навыков, в деятельности отживших организационных структур. Инерция очень свойственна человеку независимо от его возраста. Она проявляется в традициях, обрядах, стереотипах мышления, нормах поведения.
Принцип эластичности состоит в том, что скорость (Сп) изменения потенциала системы Rj зависит от самого потенциала Rj, т. е.:
Cп = F(Rj). (2)
Скорость изменения потенциала или суммы ресурсов определяется углом подъема или спада кривой изменения ресурса в зоне эластичности (рис.1.8). Если угол малый, то говорят о малой эластичности системы, т. е. система не очень восприимчива к воздействиям и малые воздействия могут пройти мимо нее незаметно. Если угол большой, то говорят о большой эластичности системы, ее активной восприимчивости. На практике эластичность системы оценивают в сравнении с другими системами исходя из статистических данных или классификаций.
Разные организации по-разному реагируют на одни и те же события в зависимости от профессионализма персонала, технического, организационного и культурного уровня самой организации.
Примеры поведения организаций с высокой эластичностью:
• при скачкообразном увеличении спроса на продукцию организация быстро задействует резервные мощности и привлекает смежные организации;
• при резком долговременном уменьшении спроса на продукцию работники организации в короткие сроки разработали, освоили и стали выпускать новую продукцию, пользующуюся большим спросом.
В табл. 3.8 приведены факторы, способствующие увеличению или уменьшению эластичности в организации.
Таблица 3.8. Факторы влияющие на эластичность организации
| Эластичность организации | |
| Увеличение | Уменьшение |
| Университетская подготовка | Профессиональная подготовка |
| основного персонала | основного персонала |
| Универсализация производства | Специализация производства |
| Резервирование (страхование) | Работа на всех производствен |
| ных мощностях | |
| Изоляция от внешней среды | Сильная зависимость от внеш |
| (создание собственной инфра | ней среды |
| структуры) | |
| Унификация изделий и их со- | Полная свобода на габариты и |
| стыковка с другими | характеристики изделий |
| Введение ГОСТов и ОСТов | Отсутствие обязательных норм |
| Ротация кадров | Сокращение текучести кадров |
Принцип непрерывности состоит в том, что процесс изменения потенциала системы Rj идет непрерывно, меняются лишь скорость и знак изменения. Кажущаяся дискретность (прерывистость) изменения потенциала системы часто объясняется взглядом со стороны, когда не замечается текущая работа, приводящая (трансформирующаяся) к новому качеству или количеству.
|
|
|
Например, организация 28 марта получила кредит на 2 млн. руб., который был зачислен на ее расчетный счет в банке. Увеличился ли ее потенциал? Конечно нет, так как в строке баланса «кредиторская задолженность» появляется число 2 млн. руб.
Однако если организация будет успешно использовать этот кредит, то ее потенциал будет постепенно (непрерывно) расти.
Принцип стабилизации состоит в том, что система стремится к стабилизации диапазона изменения потенциала системы Rj. Этот принцип основан на известной потребности человека и общества к стабильности.
На рис. 8.1. ресурс системы претерпевал значительные изменения, а в конце, на этапах краха и ликвидации, ресурс уменьшается до нуля. Улучшение работы организации и расширение этапа стабилизации должно проводиться профессионально за счет ряда факторов, в том числе за счет подключения новых ресурсов на каждом этапе развития продукции (рис. 8.3), в котором для простоты использованы только три этапа жизненного цикла: внедрение (Э2), насыщение (Э5) и спад (Э6)).
Стабилизация осуществляется включением новой продукции в деятельность организации. Так, не дожидаясь спада продукции А, необходимо включить в деятельность организации новую продукцию Б, а затем аналогично продукцию В и продукцию Г.

Рис. 8.3. Динамика развития стабильной материальной системы
При этом образуется зона стабилизации ресурсов, обозначенная на рисунке жирными линиями.
|
|
|
Исходя из рассмотренного принципа для стабилизации профессионального уровня персонала организации необходимо создать систему постоянно го обучения сотрудников. Если такого обучения нет, то этот процесс все равно будет идти, но спонтанно и неэффективно.
Специальные виды страхования также могут использоваться для стабилизации потенциала организации (см. тему5).
Успешное развитие и рост организации могут привести к синдрому большого бизнеса, который характеризуют следующие признаки:
• крайне централизованный и разбухший аппарат управления;
• всеохватывающая система специальных форм и процедур для принятия обычных, повседневных решений;
• рост числа всякого рода совещаний для выработки таких решений;
• передача решений и ответственности из одного отдела в другой.
Итак, результатом прогрессивного развития может стать синдром большого бизнеса. Снять этот синдром позволяют методы регрессивного развития (см. начало данного параграфа) путем движения назад к более простым структурам. Здесь можно привести известную поговорку о том, что «лучшее — враг хорошего».
Закон развития относится к объективным законам организации. Поэтому в практике его реализации имеются три варианта.
Тема 8 Законы организации






