Философия гармонии
Закон единства анализа и синтеза
Суть анализа (декомпозиции) состоит в разделении целого на части, в представлении сложного в виде простых составляющих.
Суть синтеза (агрегирования) состоит в соединении мысленном или реальном простых составляющих объекта в единое целое.
Аналитичность находит выражение в существовании сложившейся и продолжающейся дифференциации наук, во все более глубоком изучении все более узких вопросов.
Синтетичность мышления приводит к развитию обобщенных наук о природе, о человеке, а также к созданию пограничных наук типа бионики, биофизики, политологии и др. Анализ и синтез в человеческом мышлении сильно переплетается и не могут существовать друг без друга, т.е. они неразрывны.
Анализ (разделение) некоторых систем может идти тремя путями:
· Выделенные части зависимы друг от друга;
· Выделенные части зависимы друг от друга и при разделении теряют ряд не основных свойств;
· Выделенные части зависимы друг от друга и при разделении теряют основные свойства (например студент как обычный человек не имеет связи с учебным процессом, преподавателями и т. д.)
|
|
|
Для различных путей выделения анализ должен проводиться так, чтобы небыли потеряны важные свойства частей и была польза всей организации. Допустим, назрели организационные перемены и нужно обособить, выделить производственное звено.
Главная сторона аналитической работы – анализ причинно – следственных связей между частями. Трудность анализа состоит в определении элемента, до которого следует разделять систему (целое). Здесь имеют значение опыт и интуиция.
Синтез осуществляется на основе взаимной необходимости и взаимодействия. Получение нового целого работоспособного образования, потенциал которого выше суммы потенциалов объединенных элементов, называется эмерджентностью. Здесь проявляется диалектический закон перехода количества в качество. Эффект синергии – составляющая часть эмерджентность. Пример - объединение завода с торгующей организацией – эмерджентность, а внедрение в результате этого новы технологий – синергия. Если объединение двух однотипных компаний не дало прироста продукции – нет ни эмерджентности, ни синергии.
Объединение (синтез) проводится в два этапа:
· Моделирование нового целого или мысленно или машинным способом
· Натурная реализация
Процесс анализа и синтеза в природе идет последовательно и циклично.
Формулировка закона единства: каждая материальная система:
живой организм, социальная организация (предприятие, учебное заведение и др.) стремится настроиться на наиболее экономный режим функционирования в результате постоянного изменения своей структуры или функций. Эти изменения идут в следующем цикле:
|
|
|

Рис. 1. Схема цикла организационных изменений
Скорость и результат преобразования зависят от диапазона изменения внешней или внутренней среды.
С учетом обозначений, использованных в законе самосохранения в аналитическом виде данный закон запишется:
(1)
где t — время преобразования, Т— оптимальное время преобразования;
ri — потенциал (ресурс) организации в области i (экономика, политика, финансы и т.д.), способствующий ее развитию; V1i — ресурс внешнего, a V2i — ресурс внутреннего воздействия, стремящегося ликвидировать организацию или нанести ей ощутимый вред.
Преобразования могут носить как позитивный, так и негативный характер в зависимости от изменения внешней или внутренней среды и времени преобразования (рис.4.6). Кривые 1 и 2 представляют характер преобразования при разных сочетаниях ресурсов, T1 и T2 — оптимальное время преобразования.

Рис. 2. Влияние времени преобразования на эффективность деятельности организации
Так, в условиях повышенной радиации организм животного приспосабливается к новой жизни за счет мутации некоторых органов. Социальная организация приспосабливается к новой налоговой системе путем изобретения новых способов уйти от налогообложения Преобразования могут идти спонтанно (сами по себе) или по заранее спланированному специалистом пути.
Следствие 1. При отсутствии внешних возмущающих воздействий соотношение (4.1) приводится к следующему виду:
lim t ® T
) ﴿ = 0 (2)
В результате все созидательные ресурсы организации тратятся на внутренние потребности: компенсацию ущерба, страхование самих ресурсов и др. Это условие перерождения хозяйственной организации в общественную.
Напомним, что хозяйственная организация — это социальная система, выпускающая общественно необходимую продукцию во внешнюю среду, а общественная — преимущественно во внутреннюю (для своего внутреннего существования).
Следствие 2. При отсутствии внешних и внутренних возмущающих воздействий соотношение (4.1) приводится к следующему виду:
lim t ® T
(3)
В результате все созидательные ресурсы организации оказываются никому не нужны. Это означает, что организация идет к полному истощению ресурсов, а человек — к деградации личности. Примером может служить ситуация с выпускниками детских домов. Эти дети находятся в обособленных более или менее обеспеченных условиях: их кормят, одевают, учат. Заботливые педагоги пытаются свести «на нет» влияние внутренней и внешней среды на своих воспитанников. Это приводит к истощению их потенциальных ресурсов для противостояния жизненным трудностям в начале самостоятельной жизни, и многие ее не выдерживают.
Из этого следствия вытекает необычный вывод о том, что для организации и человека необходимы внешние потрясения и внутренние противоречия, конечно, не доводящие до патологических проблем. Что касается человека, то наличие внешних и внутренних возмущающих воздействий удлиняет его жизнь за счет мобилизации невостребованных ранее жизненных сил. Так, скучная жизнь Обломова и других патриархальных помещиков царской России приводила к их быстрому старению и самоустранению от дел.
Следствие 3. При отсутствии внутренних возмущающих воздействий соотношение (4.1) приводится к следующему виду:
(4)
В результате все созидательные ресурсы организации тратятся на внешние потребности: компенсацию разрушительных действий внешних сил, на создание своего лобби в различных ин станциях.и др. Это означает, что в организации нет внутренних проблем или их не замечают, царит полное согласие по всем управленческим и производственным вопросам. Однако полное согласие — это условие неэффективной работы организации и возможной ее ликвидации или банкротства.
|
|
|
Для выполнения данного закона руководитель должен придерживаться таких принципов, как:
• составление и реализация программы постоянного совершенствования организации, ее элементов и подразделений
• привлечение к этой работе лучших специалистов или консультантов;
• проведение маркетинга внешней среды;
• сокращение затрат на производство продукции;
• уменьшение времени нахождения запасов и промежуток ной продукции на складах;
• использование современной информационной технологи
Результат стихийного действия закона. В любой организации постоянно идут формальные и неформальные преобразования на уровне удобства работы: перераспределяются функции, расширяется или упрощается структура компании, принимается или увольняется персонал и др. Такие преобразования называют «текучкой». Они могут идти в ногу со временем, тогда это процесс неявной, но эффективной реализации закона. В большинстве случаев стихийные преобразования могут опережать потребности внутренней или внешней среды компании или отставать от них. Любое несоответствие, достигшее критических значений, начинает проявлять себя в увеличении проблем компании и даже социума. Классическим примером такого несоответствия была революционная ситуация в России 1905—1917гг., когда «верхи» уже не могли в рамках существовавших структур управления выполнять свои функции, а «низы» уже не хотели терпеть существующий порядок. Спешная смена власти и всех общественных институтов в России тех лет не дала желаемых результатов для общества. В ряде же стран неявные преобразования общественных отношений дали положительные результаты, например, в Великобритании, Швейцарии и др.
Таким образом, стихийное действие закона единства анализа и синтеза в области преобразования структуры организации, стратегии производства может привести к проблемам конкурентоспособности, прибыльности и т.д.
При обнаружении таких проблем уже созревшими у руководителей не будет достаточно времени для своевременного проведения реструктуризации или диверсификации компании. Поэтому действие закона в таких ситуациях всегда приводит к быстрому уменьшению созидательных ресурсов, а деятельность персонала компании чаще всего носит спонтанный и даже криминальный характер.
|
|
|
Философия гармонии
В окружающем нас мире все приспособлено для совместного сосуществования. Все лишнее, избыточное постепенно уходит, а недостаточное постепенно развивается, достигая некоторого временного равновесия — гармонии. В таких случаях говорят о центростремительных (объединительных) и центробежных (разъединительных) процессах.
В древнегреческой философии идеалом гармонии (от греч. «harmonia» — стройность, соразмерность) являлась космическая система с ее абсолютным порядком и организованностью.
Гармония предполагает наличие совокупности элементов, процессов и их соотносительность (пропорциональность). На Земле, на Луне и даже на Марсе есть все необходимые элементы для живого организма: вода, кислород, углекислый газ и тд. Однако только на планете Земля их соотношения приемлемы для его существования. Если какие-то пропорции этих составляющих существенно изменятся, например, уменьшится озоновый слой атмосферы, то произойдут серьезные изменения во флоре и фауне.
Гармония – это естественный эволюционный процесс, происходящий на всех уровнях цивилизации: государств, отраслей, организаций, семьи и даже одного человека.
Гармонию следует рассматривать только субъективно (гармония для кого, для чего, рис. 3).

Объект гармонизации:Организация (ООО, ЗАО, ОАО)
Рис. 3. Объект и цели гармонизации
Гармонизация элементов организации для получения прибыли существенно отличается от гармонизации элементов для комфортной работы персонала и т.д. Если конкретная цель не поставлена, то гармонизация все равно идет для какой-то неформальной цели. Гармонизацию остановить нельзя, а направить можно.
Основная задача просвещенного человека состоит в том, чтобы не тормозить этот процесс. Торможение приводит к накапливанию несбалансированности элементов. Эта несбалансированность после достижения критической точки вызывает неестественный, революционный процесс гармонизации, предсказать результаты которого практически невозможно, можно лишь гадать. Примеров сколько угодно в нашей российской истории.
Основная же задача профессионального менеджера состоит в том, чтобы помогать этому процессу, а еще — лучше упреждать его путем устранения причин возможного дисбаланса.
•Пример. Весна приходит на смену зимы — это гармония природы.
Закон композиции и пропорциональности (гармонии) формулируется так: каждая материальная система стремится сохранить в своей структуре все необходимые элементы (композицию), находящиеся в заданной соотносительности или заданном подчинении (пропорции). Будем рассматривать этот закон на двух уровнях:
• на уровне организации,
• на уровне внешней среды, в которой организация является одним из элементов. В аналитическом виде данный закон запишется:
| Композиция (набор) |
(4)
Пропорциональность в наборе
(5)
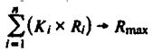
где Ri — ресурс системы в области i (экономика, политика, финансы),
Ki — коэффициент наилучшей соотносительности или подчинения в наборе элементов.
Соотношение (4) — это необходимые условия закона, а соотношение (5) — достаточные условия закона. Таким образом, для существования каждой системы должно обеспечиваться:
• наличие (ненулевые значения) необходимых ресурсов (Ri) и коммуникаций между ними (Ki);
• задействованные ресурсы Ki * Ri должны давать наилучший результат.
Соотношения (4) и (5) — это и есть условия достижения гармонии (сбалансированности).
Закон композиции и пропорциональности относится к объективным законам организации. Поэтому в практике его реализации имеются три варианта.
Первый вариант: руководитель и подчиненные ничего не знают о законе композиции и пропорциональности.
Результат стихийного действия закона. Любая стихийность приводит к самонастройке элементов: выполняемых функций, отношений между персоналом, набору целей и задач. Так, при функциональной подготовке организации ряд обязательных базовых функций не включается в функциональную структуру, например, управление технической безопасностью, управление маркетингом, стратегическое управление, представительная деятельность. Однако дальнейшая практическая деятельность организации потребует их выполнения (условие композиции). И, как правило, данные функции поручают работникам смежных подразделений, поверхностно их знающих, т. е. объем и качество их исполнения (пропорциональность) не будут оптимальными. Таким образом, методом проб и ошибок организация постепенно придет к нужному набору функций и приемлемой пропорциональности их выполнения.
Второй вариант: руководитель знает о законе, а его подчиненные нет.
Результат действия закона. В своей деятельности руководитель, знающий данный закон, будет основываться на наборе целей организации, которые и определят направление гармонизации. Однако, как показывает практика, основная масса персонала не знакома с целями организации или не поддерживает все их. Поэтому конкретные действия руководителя по формированию требуемого набора элементов и их пропорциональности не всегда будут осознанно поддержаны. Эффективность работы организации во многом будет определяться профессионализмом руководителя и его способностями по убеждению подчиненных в правильности реализуемых мероприятий.
Третий вариант: руководитель и подчиненные знают о законе композиции и пропорциональности и могут им управлять.
Результат действия закона будет проявляться в постоянном совершенствовании системы производства и управления, создании команды единомышленников, существенном снижении издержек производства. Все это, естественно, приведет к снижению себестоимости производства и увеличению конкурентоспособности организации. При этом весь персонал осознанно в рамках своих полномочий и ответственности вносит свой вклад в позитивное действие закона.
Принципы закона
Сознательная реализация закона композиции и пропорциональности в организации требует обязательного использования набора принципов планирования, координации и полноты.
Принцип планирования: каждая организация должна иметь обоснованный план деятельности и развития.
Различают стратегическое, тактическое и оперативное планирование.
Стратегическое охватывает диапазон 5 —10 и более лет, тактическое — 2—4 года и оперативное — в течение одного года. Планирование связано с выработкой целей организации, согласованных с целями развития внутренней и внешней среды (работника, рынка, общества). Каждая цель представляется в виде набора конкретных задач с механизмом выполнения (рис. 4.8).
Принцип координации: каждая организация должна следить за стратегическими, тактическими и оперативными изменениями и вносить соответствующие коррективы в механизм выполнения.
Этот принцип реализует достаточные условия закона (соотношение (4.5)).
Принцип полноты: каждая организация должна выполнять весь набор функций производства и управления на своем участке деятельности либо своими силами, либо с помощью привлеченных организаций.
Этот принцип реализует необходимые условия закона (соотношение (4.4)).
Практика использования закона
Вся работа консультантов в области организационных систем практически сводится к достижению гармонии, т. е. к возвращению организации в лоно системы. Напомним, что в системе есть общая цель для всех (конкретные цели могут быть разные), управленческая иерархия, оптимальное количество элементов и взаимосвязь (между ними не должно сыть лишних элементов). Руководители организации иногда не замечают отдельных отклонений их организации от системы. Эти отклонения чаще происходят при приеме новых работников не всегда посвящают в содержание главной цели (миссии организации. В результате модернизации ряд подразделений может резко изменить техническую оснащенность, что всегда вызывает затруднение связей и т.д.
Тема 10. Принципы организации
1. Общие принципы организации
2. Принципы динамической и статической организации
3. Принципы формирования процесса организации
В предыдущем рассмотрении мы установили, что законы организации позволяют раскрыть общие и существенные связи в системе организационных отношений, проникнуть в мир всеобщих организационных форм бытия вещей, материальных и духовных образований. Изучение законов позволяет установить механизмы (порядок) их действия и возможности использования. Именно из этого следует организационная взаимосвязь между законами и принципами. Принцип есть не что иное, как исходное положение. правило действия, вытекающее из закона. Принципы организации - это общие правила (положения) формирования (самоформирования) систем в природе и обществе, обеспечивающие их упорядоченность и целесообразность функционирования.
Принцип и законы фактически отражают один и тот же фрагмент действительности, но отражают его в разной форме: закон - в виде образа (положительного знания) Принцип - в виде определенного требования (регулятивной нормы). Отличие принципа от закона выражается и в том. что он может быть сформулирован на основе не одного, а нескольких законов, а также той или иной всеобщей формы бытия, того или иного свойства материальных и идеальных образований. Так. например, принцип историзма отражает в своих требованиях ряд всеобщих законов, а также движение как всеобщую форму бытия (атрибут) материи.
Принцип непрерывности основывается на законах: развития, самоорганизации, единства анализа и синтеза
Все многообразие принципов организации можно классифицировать по ряду признаков (рис. 5.1).
К научным относятся такие, которые могут быть сформулированы на основе познания законов и закономерностей организации и содержат в себе определенные требования к исследователю и познавательной деятельности.
Из закона наименьших вытекает принцип концентрического действия, сменяемости, преимущественного развития, динамического равновесия
К обыденным относятся в основном те правила и действия, которые сформулированы человеком на основе собственного опыта, традиций и интуиции. Они почти все без исключения субъективны и не несут достаточной научной обоснованности.
●Хемингуей: ни дня без строчки. ●Всегда защищай слабых. ●Не откладывай назавтра то, что можно сделать сегодня.

Рис. 5.1. Классификация принципов организации
Универсальные отражают правила формирования самых разнообразных систем в природе и обществе: специфические - действуют в отдельных сферах природной и человеческой действительности; ситуационные - лишь те, которые характерны для конкретных ситуаций.
●Принцип внешнего дополнения в кибернетике; цепной связи; ингрессии; слабого звена. ●Принципы управления: иерархичность, единство распорядительства, специализации и кооперации, единоначалия и коллегиальности, централизации и децентрализации, линейного и функционального управления. ●Первый поступил – первый обслужен
Также выделяют принципы, реализуемые природой без какого-либо участия человека; при взаимодействии природы и человека и только с участием человека. Последние могут быть осуществлены посредством индивидуальной, коллективной и совокупной общественной деятельности.
По масштабу действия их можно условно разделить на действующие только uв отдельных элементах системы,u на уровне работника предприятия (принцип индивидуальной работы),u между элементами системы внутри предприятия (принцип коррелятивной связи субъекта и объекта управления, принцип обратной связи): между систе мами (между предприятиями, отраслями народного хозяйства).
Объединение принципов организации в единую систему определяет их иерархию: по «назначению, «уровню, «широте и масштабам использования, а также«характеру взаимообусловленности. Возникает единая цепь базовых, дополняющих, исходных и производных принципов. Один базовый принцип обычно связан с несколькими дополняющими, а от одного исходного принципа образуется несколько производных. Последовательность взаимообусловленности по типу исходный - производный выстраивается через всю систему принципов организации: наиболее общие принципы (универсальные) являются исходной базой для более частных, те. в свою очередь, являются исходными для еще более частных и т. л. Основание иерархической структуры принципов организации образуют универсальные принципы, используемые в масштабах природы и общества. Они являются исходными для формирования специфических и ситуационных.
В рамках общей системы принципов организации можно выделить отдельные подсистемы по основным сферам их функционирования, например, природа, общество, которые подразделяются на подсистемы второго уровня. Те, в свою очередь, на подсистемы третьего уровня и т. д.
К числу основных универсальных принципов организации, действующих в природе и обществе, исследованных А.А. Богдановым, можно отнести принципы: nцепной связи, nингрессии. nподбора (отбора), nподвижного равновесия, nслабого звена и др. Все эти принципы в той или иной мере относятся к формирующим и регулирующим механизмам. составляющим суть процессов организации, или к механизмам поддержания устойчивости и организованности форм целостных образований. Указанные принципы носят всеобщий характер, так как относятся и к организующей деятельности природы, и к организующей деятельности человека. «Между стихийной организующей работой природы и сознательно планомерной - людей нет принципиального непереходимого различия. Это достаточное доказательство принципиальной однородности организационных функций человека и природы: идиот не может подражать творчеству гения; рыба - красноречию оратора: рак - полету лебедя. Подражание всюду ограничено рамками общих свойств, рамками однородности. Не может быть подражания там, где нет ничего общего. Но еще ярче и убедительнее выступает эта основная общность там. где человек, не подражая природе, вырабатывает такие же организационные приспособления, которые потом находит в ней и познание» (Богданов А.А.). Так, скелет двигательного аппарата человека представляет систему разнообразных рычагов, но рычаги применялись человеком для перемещения тяжестей за тысячелетия до выяснения этого анатомами. а блоки - за много сотен лет. Всасывающие и нагнетательные насосы с клапанами устраивались задолго до раскрытия вполне сходного с ними аппарата сердца. Так же и музыкальные инструменты с резонаторами и звучащими перепонками изобретались много раньше, чем были выяснены строение и санкции голосовых органов животных (Рассмотрим более подробно основные тектологические принципы организации.
Принцип цепной связи гласит, что всякое соединение комплексов происходит через общие звенья, образующие цепную связь. Совокупность общих, совпадающих элементов между комплексами, входящими в цепную связь, образует «связку» «Цепная связь может неограниченно развертываться по самым различным направлениям и с постоянно меняющимися связующими элементами Пример развертывания обыденной связи людей в обществе: А и В соединяют общие вкусы, В и С - общие задачи, С и Д - общие несчастья и проч.: цепь извивается, переплетается, спутывается с другой цепью, образует клубок, охватывая миллионы людей, из которых огромное большинство не знают даже о существовании друг друга» (16, кн. 1. с. 153).
Но для цепного соединения двух комплексов требуется такое их изменение, чтобы в них получились общие элементы, соответствующие для задачи, которой служит данный организационный процесс. Это достигается за счет т.н. организующих комплексов, которые содержат общие элементы с организуемыми и «входят» между ними. Отсюда и название самого метода - ингрессия, т.е. «вхождение».
Принцип ингрессии как раз и состоит в том, что образование цепной связки осуществляется путем вхождения посредствующих комплексов между организуемыми.
Примером применения принципов цепной связи и ингрессии может служить сложная система машин, организованная в поточную линию и работающая в едином ритме. Нужна длинная и сложная цепь ингрессии. чтобы вода. поступающая на лопасти турбины гидроэлектростации вырабатывала электроэнергию и приводила в движение станки, электровозы, осветительные приборы и т.п. «Ингрессия, - по утверждению А. А. Богданова, - есть всеобщая форма цепной связи».
Принцип подбора (отбора) является фундаментальным. Он утверждает, что «всякое событие, всякое утверждение может рассматриваться как сохранение или умножение одних активностей, упрочение и усиление одних связей, и (одновременное) устранение, уменьшение, ослабление других в том или ином комплексе, в той или иной системе» (16. кн.2, с. 152).
Данный принцип сводит организационные процессы к дилемме: или сохранение, или уничтожение различных целостных образований. «Закономерное сохранение или уничтожение - это есть первая схема универсального регулирующего механизма, каковым является подбор. «Универсальность данного принципа такова, что она применима ко всякому комплексу и ко всякой его части. во всякий момент, ибо это в сущности просто определенная точка зрения, с которой можно подходить к любому факту» (16. кн. 1, с. 190).
Примеры использования принципа подбора встречаются повсеместно: и в стихийном естественном отборе, описанном Дарвиным, и в социальной борьбе за жизнь, в доктрине Мальтуса, и в теории Крукса о развитии материи. Человечество постоянно использует принцип подбора, выполняя искусственный подбор, проводя селекцию животных. растений и т. п. В человеческой деятельности подбор связан с репрезентацией, т.е. с сознательным обобщением полезных свойств, наиболее часто встречающихся в массе рассматриваемых явлений.
Принцип подвижного равновесия тесно связан с тем, что организационные формы никогда не сохраняются в простом и чистом виде. «Сохранение является всего лишь результатом того. что каждое из возникающих изменений уравновешивается тут же другим ему противоположным - оно и есть подвижное равновесие изменений» (16, кн.]. с. 197). Используя принцип подвижного равновесия, можно сформулировать новое понимание принципа подбора. глубже характеризующее и прогрессивное развитие комплексов, и их 7относительный упадок. Его целесообразней выразить термином «прогрессивный подбор: положительный при возрастании суммы активностей комплекса (системы), т.е. перевесе ассимиляции над дезассимиляцией, и отрицательный при уменьшении суммы активностей. т.е. преобладании дезассимиляции» (16, кн. 1. с.202).
Принцип слабого звена вытекает из тектологического закона наименьших. Поэтому, не останавливаясь на нем подробно, лишь подчеркнем, что организационная целостность любой системы определяется устойчивостью ее относительно слабого звена. Руководствуясь этим принципом, можно решать важные задачи военной тактики, хозяйственной, политической деятельности. Определение слабых звеньев, «узких мест» и разработка эффективных мер по их устранению представляют одну из наиболее важных организаторских функций руководства на любом уровне. Недаром А.А. Богданов считал 'этот принцип принципом огромного жизненного и научного значения.
Таким образом, рассмотренные нами общие принципы организации представляют собой совокупность исходных положений и правил, отражающих механизмы формирования, регулирования и сохранения организованности различных форм окружающей нас действительности.
Перейдем теперь от тектологических принципов организации к специфике их проявления в организующей деятельности человека. Принципы организации можно условно разделить на три группы:
• принципы организационной статики, определяющие правила построения структур (структуризации);
• принципы организационной динамики, как общие правила формирования организационных процессов:
• принципы рационализации, как общие правила совершенствования статики и динамики организации.
Принципы статической и динамической организации
Отметим, что в данной теме организация рассматривается как социальная система, которая реализует себя.в производстве товаров, услуг, информации и знаний. Для решения своих задач она должна включать ряд важных элементов: маркетинг, целеполагание, коммуникации, функции, технологию производства и управления, структуру производства и управления, социальную сферу, финансы, кадровую политику.
Организация как любая материальная система проходит все этапы жизненного цикла или часть их. Этапы можно объединить в две группы: статическую и динамическую.
Статическая группа (табл. 5.1) включает: порог нечувствительности и ликвидации (утилизации). Организацию, находящуюся в статической группе, называют статической организацией. В такой организации внутренние и внешние отношения рассматриваются в отрыве от развития. Это довольно плодотворный метод при подготовке документов, регистрации, физического создания организации, создания, реорганизации и ликвидации организаций. Например, производство и ремонт радиоаппаратуры лучше производить в отключенном от сети состоянии.
Динамическая группа включает: внедрение, рост, зрелость, насыщение, спад и крах. Организацию, находящуюся в динамической группе, называют динамической организацией. В такой организации преобладают координирующие действия.
Так, отладку аппаратуры лучше проводить в рабочем состоянии.
Специалисты консультационных фирм предпочитают работать со статическими организациями, а руководителям приходится работать с динамическими организациями. Для работы с динамическими организациями разработано несколько консультационных технологий, например, инновационная технология «прорыв».
Рассматриваемые далее принципы входят в состав механизма реализации законов организации и законов для организаций.
Принципы приоритета
• Принцип приоритета цели: в системе цель—задача—функция наивысший приоритет имеет цель, затем задача и далее функция (рис. 5.2 а) Функции (подфункции) — виды конкретных работ. Например, из цели «поднять производительность труда» вытекает ряд конкретных задач, в частности, заменить станок А на станок Б. Из этой задачи вытекает набор функций (или поручений, процедур), например, экономисту Сидорову В. В. за три дня составить калькуляцию затрат на замену станка, рабочему Цою А.Н. на четвертый день заменить станок, электрику Швангеру В. К. подключить силовой кабель к станку и т.д.
Если какая-либо задача из набора нереализуема (технически, экономически и т.д.), то приоритет переходит к ней (рис. 5.2 б). Задача превращается в проблему, так как для нее нет готовых решений или может быть не хватает ресурсов, при этом цель 1 должна быть скорректирована до цели 2 и далее вновь приоритет переходит к цели. Если какая-либо функция из набора нереализуема, то приоритет переходит к ней (рис. 5.2 в), при этом должна быть скорректирована соответствующая задача из прежнего набора и сама цель до цели 3, далее вновь приоритет переходит к цели.

Рис.5.2. Схема приоритетов в системе цель – задача -функция
а) штатная схема, б) нереализуемость задачи, в) нереализуемость функции.
• Принцип приоритета функций над структурой при создании
организаций: создание новых организаций осуществляется для реализации определенного набора целей. Каждая цель реализуется набором задач. Затем эти задачи группируются по общности и для этих групп формируется набор функций. Для конкретного набора функций создается набор структурных единиц (рис 5.3).
Если невозможно сформировать набор структурных единиц, адекватных набору функций, то вновь рассматриваются варианты по принципу приоритета цели.

Рис. 5.3. Взаимосвязь целей, задач, функций и структур
• Принцип приоритета структур над функциями в действующих организациях: в реально действующих организациях со временем отлаживаются взаимосвязи между элементами структуры, лишние постепенно отмирают, а недостающие постепенно появляются. Создается уникальная для каждой организации аура взаимодействия. Для сохранения этой ауры имеется очень небольшой диапазон изменения структуры в виде ликвидации, расширения или создания отдельных звеньев; увольнения или приема отдельных людей в рамках сокращения или увеличения выполняемых функций. При превышении этого диапазона организация может не справиться с новыми функциями.
Например, оборонное предприятие по производству танков не получает государственного заказа и простаивает. Руководителю предлагают два варианта плана конверсии: первый — переход на выпуск изделий ширпотреба: ложек, вилок, кроватей и т.д., а второй — переход на выпуск автомобилей для инвалидов. Первый вариант на бумаге более выгоден, однако реально осуществить его будет практически невозможно без полной реорганизации. А на это уйдет много лет. Второй вариант более приемлем и окажется более прибыльным, так как уже существующие звенья и налаженная система коммуникаций при небольших изменениях могут сразу включиться в слаженную работу. Таким образом, у действующей организации небольшой выбор среди новых наборов функций.
• Принцип приоритета субъекта управления над объектом при создании структурного подразделения (звена): при создании организации собственник или учредители должны подбирать «под себя» персонал, выпускаемую продукцию, местоположение организации. Особое внимание должно уделяться персоналу, личностным и профессиональным характеристикам работников. На стадии создания должны быть заложены основы комфортной работы. В этом случае хорошо работает система номенклатурного назначения, т. е. приглашение на управленческую должность людей, ранее работавших с собственниками организации либо по рекомендации (табл. 5.2).
• Принцип приоритета объекта управления над субъектом для действующих организаций: руководители и главные специалисты организации должны подбираться под конкретные структурные подразделения с учетом их совместимости. Например, главный бухгалтер организации ушел на пенсию. Коллектив бухгалтерии вправе рассчитывать, что новый руководитель будет не хуже прежнего. Поэтому задачей руководства будет поиск либо из состава бухгалтерии, либо со стороны адекватной замены. Хотя бывает и по-другому, когда номенклатурный работник постепенно начинает менять состав звена, обычно это плохо кончается. В то же время ориентация на сложившиеся коллективы, установившиеся межгрупповые и межличностные связи, ведет к консервации существующих структур и ограничению применения более рациональных.
Принципы соответствия
• Принцип соответствия между, поставленными целями и выделенными ресурсами: каждой цели должен соответствовать набор материальных, финансовых и кадровых ресурсов, призванных обеспечить выполнение набора задач. Учитывая, что задачи кон кретизируются набором функций, необходимо, чтобы они были материализованы с учетом необходимого резерва. В противном случае одна или несколько функций не будут реализованы, а стоящие за ними задачи и цель также не будут выполнены (рис. 5.4).
• Принцип соответствия распорядительства и подчинения: у
каждого работника должен быть один линейный руководитель и любое количество функциональных. Не допускается ситуации, когда подчиненный по другим каналам является линейным руководителем своего руководителя (начальник своего начальника). У президента акционерного общества открытого типа линейным руководителем выступает собрание акционеров, которое может даже снять его с должности, однако снять с должности человека, находящегося на более низкой ступени управления, собрание не имеет права, а может только поручить президенту ОАО решить этот вопрос.
Даже у президента страны должен быть линейный руководитель, который представлен в виде коллективного органа: конгресс, парламент и т.д.
Принцип оптимального сочетания централизации и децентрализации производства и управления. Как показывает практика, очень маленькие и очень большие организации работают менее эффективно, чем их промежуточные по размеру аналоги. Многие руководители не замечают, что их организации постепенно превращаются в больших монстров с нарастающими трудностями производства и управления. Вовремя произвести объединение или разъединение организаций на филиалы — это важная задача руководителей. Критерии проведения этой работы — снижение спроса на товары, рост незапланированных увольнений персонала, рост затрат на управленческий аппарат.
• Принцип прямоточности: производственные и информационные процессы должны идти по кратчайшему пути с минимальным количеством вспомогательных операций.
•Пример. Завод по производству сверл можно построить по двум схемам:
А) по схеме разделения операций: заготовительный цех, токарный цех, фрезерный цех, цех термообработки, заточной цех. При этом обеспечивается концентрация однотипного оборудования на одной территории, что, несомненно, очень удобно. Однако заготовки сверл после соответствующих операций нужно перевозить в очередной цех с составлением большого количества сопроводительных документов. В каждом цехе обязательно испортят несколько сверл или они пропадут, т. е. труд предыдущих операций обесценивается, что также требует большого до-кументационного оформления между цехами. Таким образом, уходит много времени, бумаг, ресурсов, а также перераспределяется ответственность за выпуск сверл, доходящая до безответственности;
Б) по принципу универсальности операций: цех игольчатых сверл, цех средних сверл, цех крупных сверл. В каждом цехе сосредоточено оборудование для полного процесса изготовления сверл. При этом, конечно, ухудшаются условия технического обслуживания оборудования. Однако увеличивается ответственность руководителя цеха за количество и качество продукции и существенно уменьшаются время и средства на выполнение вспомогательных операций. Этот путь и реализует принцип прямоточности.•
• Принцип ритмичности: производственные и информационные процессы должны идти равномерно по заранее заданным временным интервалам. Например, равномерная подготовка студентов к экзаменам.
• Принцип пропорциональности: производственные и информационные процессы должны идти по графику, чтобы не было простоев и затоваривания.
• Принцип синхронизации (системный принцип); среди производственных и информационных процессов необходимо выделить постоянный или временный центр синхронизации, под который должна подстраиваться работа других подразделений. Например, в ГУУ центром синхронизации являются студенческие группы.
Принципы рационализации включают: концептуализацию, алгоритмизацию, нормализацию, систематизацию, классификацию, концентрацию, специализацию, стандартизацию, унификацию, персонификацию и регламентацию.
Концепция формируется на основе базовых целей системы и включает в себя концепцию рациональной организации и концепцию самой рационализации.
Первая устанавливает: ·уровень организованности, · основную идею рациональной организации; ·тип и основные характеристики рациональной структуры; ·основные характеристики организации.
Вторая определяет: основную идею рационализации; характер изменений статической и динамической организации системы; основное направление рационализации с выделением этапов и задач; необходимые ресурсы; критерии рациональности.
Алгоритм процесса рационализации содержит многовариантную программу поэтапного преобразования организации.
Алгоритм функционирования содержит программу наиболее рационального выполнения соответствующих функций.
Алгоритмизация предполагает:
Ø учет важнейших целей системы;
Ø установление ситуаций и вариантов действий;
Ø конкретность и подробность программы действий.
Алгоритмизация особенно важна:· для значительных изменений сложных и крупных систем; ·в сложных ситуациях при воздействии многих факторов; ·при высоких требованиях к оперативности и надежности процесса.
Тема 10. Организация и управление
1. Соотносительность организации и управления
2. Состав структура и особенности организации управления
3. Функциональное содержание управления
Деятельность современных организаций сталкивается с множеством проблем, часть из которых типовые и могут быть сравнительно просто решены специалистами с помощью обычных технологий разработки и реализации решений. Для разрешения нетиповых проблем требуются специальные технологии разработки решений и, наконец, решение части проблем может быть не по силам как руководителям, так и специалистам. Набор таких проблем характеризует организацию как одну из самых сложных объектов для изучения и познания. Особый интерес представляет система управления (СУ) организации, ее изучение и совершенствование — постоянная задача руководителя. Место СУ в социальной системе показано на рис. 2.1.

Реформирование экономики и глобальная информатизация общества усиливают внимание специалистов к системе управления организации в целях ее совершенствования. СУ представляет совокупность всех элементов, подсистем и коммуникаций между ними, обеспечивающих процесс целенаправленного управления. Все работы в области управления организациями, консультирования так или иначе касаются структуры и содержания системы управления. Так, корпорация «Галактика», успешно реализующая свой многопользовательский сетевой комплекс полной автоматизации фирмы, считает, что СУ базируется на трех основных составляющих:
• информационной поддержке процессов разработки и реализации решений;
• наборе типовых бизнес- процедур для решения поставленных задач;
• системе активизации персонала.
Рассмотрение организации систем управления мы будем проводить применительно к социальным системам. Основной связующий элемент социальной системы – человек Социальные системы в зависимости от целей могут быть образовательными, политическими, медицинскими и др. Социальные системы, реализующие себя в производстве товаров, услуг, информации и знаний называются социальными организациями. Каждая из них имеет приоритет собственных целей. Так для социально – экономических оганизаций главная цель – получение прибыли.
В этой связи постараемся установить соотношение между такими фундаментальными понятиями теории организации, как «организация» и «управление». Под «управлением» в широком смысле слова понимается «элемент, функция организованных систем различной природы биологических, социальных, технических), обеспечивающая сохранение их определенной структуры, поддержание режима деятельности, реализацию их программ и целей» [95, с. 1379]. На основе данного определения в организациях различного уровня можно выделить управляющую (субъект) и управляемую (объект) части, а также систему связей между ними, которые в целом нередко называют «система управления» (рис. 2.2).

Рис. 2.2. Управляющая и управляемая системы организации
Каждая из обозначенных частей имеет определенную самостоятельность и собственное предназначение. Объект управления есть не что иное, как система, выполняющая ролевую функцию организации, в то время как субъект управления поддерживает выходы этой системы на уровне, удовлетворяющем заданным условиям ее функционирования. Связь в системе управления — это то, что объединяет субъект и объект управления в единое целое. Ее следует рассматривать как источник информации для выработки управляющего воздействия. Через каналы связи движутся потоки информации, запитывающие все подсистемы организации и обеспечивающие достижение ее целей. Такова упрощенная модель системы управления.
Из ее рассмотрения можно установить, как соотносятся между собой понятия «организация» и «управление».
Во-первых, управление, а точнее, управляющая система уже сама по себе есть организация, некое единое, упорядоченное целое, состоящее из различных элементов, складывающихся в определенным образом сформировавшуюся структуру. Эта структура полностью обладает системными свойствами организации, описанными выше.
Во-вторых, управление можно рассматривать как необходимую и важнейшую часть большинства биологических, экономических, социальных и механических систем, т.е. как часть организации, выполняющую особую функцию по поддержанию в допустимых пределах отклонений системы от заданных целей.
В-третьих, организация как процесс по упорядочению в организованных системах выступает в виде функции управления и с этой точки зрения является составной частью управления.
Складывается на первый взгляд парадоксальная ситуация, когда управление, с одной стороны, есть организация, с другой — часть организации, а сама организация является частью управления. Но это только на первый взгляд, а на самом деле в ней отражается системное и функциональное единство организации как состояния и процесса.
Таким образом, представление организации с системных и функциональных позиций весьма плодотворно, так как позволяет высветить ее новые черты и отношения различных сторон организованного целого с однопорядковыми категориями, каковыми являются «система» и «управление».
Можно предложить расширенный набор элементов. входящих в систему управления и состоящий из четырех подсистем: методологии, структуры, процесса и техники управления (рис. 2).

В свою очередь методология и процесс управления формируют управленческую деятельность, а структура и техника управления — механизм управления. Состояние элементов системы управления организации непосредственно отражается на эффективности ее функционирования в целом.
Основная задача системы управления — формирование профессиональной управленческой деятельности (ПУД), которая может рассматриваться как процесс и как явление.
Как процесс ПУД — это совокупность действий (выполнение функций, использование методов и др.), ведущих к образованию и совершенствованию взаимосвязей между частями целого. Как явление ПУД — это объединение элементов (цели, программы, средства и др.) для реализации миссии организации на основании определенных правил и процедур. Узаконенные или общепринятые правила и процедуры перерастают в стандарты. Часто полагают, что нет нужды в стандартах для ПУД, так как это существенно снижает гибкость (быструю перестройку) элементов системы управления. В теории управления ПУД рассматривается как сочетание науки и искусства управления, где наука — это прагматизм, а искусство — творчество. В результате преобладания в практической управленческой деятельности (менеджменте) искусства управления в ряде публикаций ее называют особым или специфическим видом труда. В теории управления трудно найти грань, отделяющую науку от искусства. С нашей точки зрения, таким индикатором может стать стандарт на тот или иной процесс или явление в ПУД (рис. 2.3).
| Управленческие технологии Функции и структуры Законы, закономерности | Интуиция. Опыт Здравый смысл Озарение |
Наука Искусство
Приоритеты функционального и структурного подхода
Рассмотрим два элемента системы управления: функции и их организационное оформление в виде структур. Функции и структура управления находятся в диалектическом единстве. При создании новой организации функции выступают основой для формирования структуры (подразделений, должностей, закрепления за ними прав, полномочий и ответственности).
При совершенствовании или диверсификации производства и управления основой служит структура, которая определяет диапазон возможного изменения набора функций. При этом структура принципиально не меняется, т. е. сохраняются ключевые подразделения и должности (табл. 2.2).
Новые организации
Собственники (учредители) новых организаций (в основном это общества с ограниченной ответственностью или товарищества) после завершения организационного марафона по их регистрации сталкиваются с новой проблемой: как создать эффективное управление? С чего начать? Можно идти от здравого смысла и опыта аналогичных организаций, а можно — и по пути создания «под себя» (под конкретного учредителя и организации) приемов и методов управления, используя известные разработанные методики.
Первый вариант самый дешевый и быстрый. Уже на следующий день можно создать подразделения, аппарат управления (директор, бухгалтер и т.д.) и наделить их правами, полномочиями и ответственностью. В ряде случаев такой механизм хорошо работает. Но в предпринимательстве выживает только тот, кто все делает не просто хорошо, а лучше, чем у других (проще, эффективнее, надежнее). Поэтому для них рекомендуется второй вариант, который предусматривает профессиональный подход. Учредители могут либо сами реализовать достаточно простые методики формирования механизма управления, либо воспользоваться услугами профессионалов из консультационных фирм. Профессиональный подход заключается в реализации шести этапов:
Первый. Формирование временной группы по созданию организации.
Второй. Составление набора необходимых функций управления и производства.
Третий. Проверка набора функций управления по методике функционально-стоимостного анализа.
Четвертый. Распределение этого набора по четырем группам (активизирующие, тормозящие, нейтральные и потенциальные) и их анализ. Активизирующие направлены на реализацию текущих программ собственника, тормозящие — это дань старым подходам и традициям (они, кстати, играют важную позитивную роль); потенциальные направлены на реализацию стратегических программ собственника и, наконец, нейтральные — это функции, влияние которых на процесс производства и управления минимален, они важны с социальной стороны производства (в каждой организации есть люди, многолетний труд которых принес ей существенный успех; и поэтому иногда руководители в знак признательности оставляют таких людей (уже пенсионеров или инвалидов) в организации и дают им посильные виды работ, может быть, и ненужных для организации).
Пятый. Создание функциональной структуры управления.
Шестой. Создание организационной структуры управления на базе функциональной.
Действующие организации
Энтузиазм новых собственников (после приватизации) часто подталкивает руководителей организаций к быстрым решениям по реорганизации системы управления. И обычно эта ломка начинается со структуры. Сокращаются должности и подразделения, в результате наступает функциональный кризис, т. е. несогласованность функций управления между собой. На практике часто сокращают тормозящие, нейтральные, а иногда и потенциальные функции, оставляя активизирующие. Но парадокс заключается в том, что оставленный набор активизирующих функций начинает со временем перераспределяться на перечисленные выше четыре группы. И от первоначальных активизирующих функций остается существенно меньше. Благие намерения руководителей оборачиваются серьезной дестабилизацией в работе организации.
Все перечисленные группы функций должны присутствовать в общем наборе функций процветающей организации, при этом важны их пропорции.
Профессиональный подход в действующих организациях заключается в реализации следующих восьми этапов:
1. Создание группы развития организации на конкурсной основе.
2.Составление набора необходимых функций управления и производства.
3. Проверка набора функций управления по методике функционально-стоимостного анализа.
4. Распределение этого набора по четырем группам и его анализ.
5. Составление функциональной структуры управления.
6. Сравнение этой структуры с существующей.
7. Внесение корректив в набор функций.
8. Внесение корректив в структуру управления организацией.
В общем виде функция — это совокупность действий, относительно однородных по некоторому признаку, направленных на достижение частной цели и подчиненных общей цели управления
Полезность, необходимость функции должна служить критерием для ее дальнейшего анализа. Функции, выполняемые в организации, можно разделить на три большие группы (рис. 2.4):
• производственные,
• управление производственными функциями,
• управление управленческой деятельностью. К производственным относятся функции основного, вспомогательного и обслуживающего производства товаров, услуг, информации или знаний. Например, производство токарных станков модели 1М62, производство станин для вертикальных сверлильных автоматов, ведение бухгалтерского учета, делопроизводство по внешнеэкономической деятельности и др. К функциям управления производственными функциями относятся функции по планированию, прогнозированию, организации, координации, стимулированию и контролю деятельности работников, занятых в основном, вспомогательном и обслуживающем производствах. Например, управление производством, управление персоналом, управление инновационной деятельностью, управление внешнеэкономической деятельностью, управление бухгалтерским учетом и др. реализуются через общие функции управления: планирование, прогнозирование, организация, координация, регулирование.
К функциям управления управленческой деятельностью относятся стратегическое управление, внешнее представительство и консультационная деятельность. Особое внимание уделяется стратегическому управлению, которое образно сравнивается с зонтиком, под которым укрываются все функции управления.
Производственные функции выполняют рабочие, техники, инженеры, секретари, референты, конструкторы, технологи, инспекторы, бухгалтеры и др., которых мы далее будем называть специалистами. Функции управления

производственными функциями выполняют мастера участков, бригадиры, руководители групп или проектов, другие работники, имеющие в своем подчинении специалистов, действия которых они направляют своими решениями. Этих работников мы в дальнейшем будем называть менеджерами.
Функции управления управленческой деятельностью выполняют работники, имеющие в своем распоряжении менеджеров и направляющие их деятельность в соответствии с целями и миссией организации. Таких работников мы в дальнейшем будем называть руководителями. В реальной организации руководители, специалисты и менеджеры выполняют функции из разных групп (табл. 2.3).
Таблица 2.3. Распределение функций управления
| Категории | Функции | ||
| Управление управленческой деятельностью | Управление производственными функциями | Производственные функции | |
| Руководители Менеджеры Специалисты | + - - | +? + | —? +? + |
В крупных организациях руководители могут выполнять функции только из одной группы (управление управленческой деятельностью), а в малых — из двух или даже из трех групп. Символ «?» в табл. 2.3 показывает на возможность как наличия, таки отсутствия функций соответствующей группы в деятельности руководителя.
Производственные функции рассматриваются в дисциплине, называемой «Менеджмент операций». В ней изучаются международные стандарты качества (150) на составляющие функцию операции, например, стандарт 9000 «Система обеспечения качества» и др.
В системе управления организаций нас интересуют две группы функций: функции управления производством и функции управления управленческой деятельностью, которые в дальнейшем будем именовать как функции управления. Они реализуются набором процедур управленческой деятельности, осуществляемых субъектом управления. Так, для выполнения функций управления необходимо получить задание или его сформулировать; провести информационную работу; подготовить варианты решений; принять, согласовать и утвердить решение; организовать и контролировать его выполнение; сдать выполненную работу заказчику или использовать ее в своей организации. Приведенная совокупность процедур находится во взаимосвязи. Каждая процедура должна включать набор операций. Например, подготовка решения включает операции по созданию и эксплуатации баз данных и баз знаний, проведение совещаний и т.д.
Таким образом, образуется следующая иерархия:
конкретные функции управления,
типовые процедуры,
набор операций.
Отсутствие какой-либо процедуры или операции может привести к низкой эффективности выполнения функций или к их невыполнению. Так, без проведения информационной работы (оценки ситуации, получения и обработки достоверной информации) дальнейшая работа будет затруднена.
Процесс специализации и кооперации управленческой деятельности приводит как к дроблению, так и к объединению функций управления. Так, общая функция «разработка плана снабжения» в крупных организациях разделяется на: подготовительную работу по составлению плана, определение текущих потребностей производственных единиц в материалах и определение остатков материалов на складах.
Каждые функция, процедура и операция имеют три главных параметра: трудоемкость, сложность и стоимость. Трудоемкость определяется в часах. Сложность имеет три уровня: низкий, средний и высокий. Уровень определяется характером выполняемых операций (см. §4.1). Напомним, что низкий уровень сложности характеризуется преобладанием технических операций; средний уровень — преобладанием логических операций; высокий — преобладанием творческой деятельности, включающей действия, основанные на принятии нестандартных решений.
При расчетах рассматривается и нулевой уровень сложности, характеризуемый отсутствием правил, инструкций и документационного сопровождения их выполнения. Таким образом, мы можем ввести численный эквивалент уровня сложности функции: высокий — 3, средний — 2, низкий —1, нулевой — 0.
Стоимость определяется на основании калькуляции всех видов операций, составляющих конкретную функцию управления (КФУ). Как известно, каждая КФУ представляется как набор общих функций — планирование (П), организация (О), активизация (А) и контроль (К) — основные из них, и других общих функций — прогнозирования, координации, информирования и т.д., которые также играют важную роль, но рассматриваться здесь не будут, так как методика анализа при этом не меняется.
Каждая общая функция управления, составляющая КФУ, включает набор процедур: подготовка, согласование, принятие, утверждение и организация выполнения решения. Приоритет процедур, составляющих ФУ, определяет уровень обязательности их исполнения. В рамках этого необходимо выделить административные, технологические и патронажные ФУ. Функция считается административной, если среди составляющих ее процедур приоритетна процедура «Принятие решения» или «Утверждение решения». Для технологической — наличие среди процедур, составляющих функцию, приоритетных процедур «Подготовка решения», «Согласование» или «Организация выполнения решения». Если в наборе нет приоритетных процедур, то это
ФУ. Наличие административной общей ФУ в КФУ также придает ей этот же статус.
Тема 10. Организации: системы и люди