Фоторецепторная система фотосинтеза строится на основе двух важнейших типов химических соединений: 1) тетрапирролов, образующих циклическую структуру хлорофиллов (магнийпорфиринов), а также открытую структуру пигментов фикобилинов (присутствуют у водорослей); 2) полиизопреноидов, образующих большой и разнообразный класс пигментов каротиноидов.
В каждой из этих групп пигментов путем модификации основной структуры образуется несколько химически различных структур, имеющих максимумы поглощения в разных частях видимой области электромагнитного спектра. Известно 10 различных структурных форм хлорофиллов (хлорофиллы a, b, c, d, e, бактериохлорофиллы a, b, c, d и протохлорофилл), несколько форм фикобилинов, более 100 различных модификаций каротиноидов. Кроме того, одна и та же химическая структура в живом листе в комплексе с белками и липидами образует целую серию так называемых «нативных» форм. В итоге формируется мощная фоторецепторная система с большим набором различных спектральных форм. Это определяет поглощение большей части видимой области спектра (от 400 до 800 нм) - так называемую фотосинтетически активную радиацию (ФАР) с энергией квантов от 1 до 3 эВ, и высокую эффективность миграции энергии в пигмент-белковых комплексах хлоропластов.
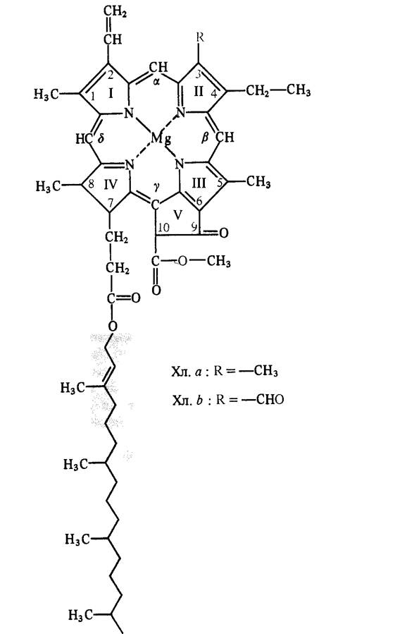
Хлорофилл - сложный эфир дикарбоновой кислоты хлорофиллина, у которой одна карбоксильная группа этерифицирована остатком метилового спирта (СН3ОН), а другая - остатком одноатомного непредельного спирта фитола (С20Н39ОН). Из большого числа разнообразных пигментов только две структуры - хлорофилл а и бактериохлорофилл а - способны осуществлять преобразование энергии, все остальные пигменты участвуют в процессах поглощения и миграции энергии. Анализ химического строения молекулы хлорофилла а показывает, что данная структура прекрасно приспособлена для выполнения трех основных функций в фотосинтезе - поглощения, запасания и преобразования энергии.
В молекуле хлорофилла четыре пиррольных кольца (I-IV) соединены между собой метиновыми мостиками (α, β, γ, δ), образуя порфириновое ядро (рисунок). Атомы азота пиррольных колец четырьмя координационными связями взаимодействуют с атомом Mg. В структуре порфиринового ядра есть также циклопентановое кольцо, содержащее химически активную карбонильную группу. Структура, состоящая из тетрапиррольного и циклопентанового колец, получила название форбина. Структура хлорофилла, лишенная фитола, называется хлорофиллидом. При замещении атома магния двумя атомами водорода образуется феофитин.

Пиррольное кольцо, состоящее из 4 атомов углерода и атома азота, является хромофором, способным поглощать энергию инфракрасной области спектра. Замыкание пиррольных колец в тетрапиррольную структуру порфина, химически более устойчивую, имело решающее значение в эволюции хлорофиллов как первичных фоторецепторов. Благодаря формированию циклической системы и эффекту сопряжения появляются интенсивные полосы поглощения в видимой области спектра с более высокой энергией квантов. Образующиеся в процессе эволюции порфирины представляют собой сложную систему с общим π-электронным облаком, объединяющим 4 пиррольных кольца в единый цикл.
Порфириновый макроцикл обладает всеми свойствами, необходимыми для выполнения важнейших функций в фотосинтезе:
· имеет определенный спектр поглощения в зеленой области (порфирины красного цвета);
· проявляет активную красную флуоресценцию, что свидетельствует о фотохимической активности порфиринов;
· является хелатообразователем, способным включать Мg, что позволяет осуществлять реакции, идущие с запасанием энергии;
· обладает способностью к обратимым окислительно-восстановительным превращениям - фотовосстановлению (может служить акцептором электрона, т.е. осуществлять фотоокисление органических веществ в отсутствие О2) и фотоокислению (электрон-донорная функция при включении Мg).
В процессе эволюции пигментов изменялись свойства их полярности. Формируются порфирины, различающиеся по числу СООН-групп, появляется также гидрофобный радикал фитол. Возникновение менее полярных, более гидрофобных порфиринов обеспечило возможность включения их в мембранные структуры и образования пигмент-белковых комплексов с более длинноволновыми максимумами поглощения, а также определенную ориентацию пигментов, что необходимо для активных процессов поглощения и миграции энергии. Дальнейшая эволюция пигментов шла по пути все большего усложнения их структуры.
Все известные хлорофиллы отличаются друг от друга составом боковых группы, центральная часть молекулы остается неизменной. К числу основных элементов структуры относятся: 1) циклическая 18-членная система сопряженных связей, 2) центральный атом магния, 3) циклопентанное кольцо, 4) фитол. Исследования последних лет позволяют раскрыть функциональное значение отдельных элементов структуры.
Конъюгированная система сопряженных связей у всех хлорофиллов представляет собой основную хромофорную группу, ответственную за избирательное поглощение световой энергии. Циклическая система сопряженных двойных связей, образующая делокализованную π-орбиту, имеет ряд дополнительных сопряжений: винильную группу в I кольце, полуизолированную связь во II кольце, С=О группу в V кольце. В результате возникает сложноразветвленная конъюгированная система, которая обеспечивает высокую поглощающую способность Мg-порфиринов. Спектры поглощения магнийпорфиринов имеют два хорошо выраженных максимума поглощения в сине-фиолетовой (полоса Соре) и красной областях спектра (рисунок). У хлорофилла b оба максимума расположены между максимумами поглощения хлорофилла а, что увеличивает области поглощаемой энергии хлоропластами высших растений.

Центральный атом магния определяет важнейшие физические и химические свойства молекулы магнийпорфирина. Включение магния в тетрапиррольную структуру значительно изменяет спектральные свойства хлорофилла. Влияние магния осуществляется через атомы азота пиррольных колец - двух третичных (-N=) и двух иминных (=NH). В щелочной среде два протона от иминных атомов азота замещаются на магний, образующий с двумя атомами иминного азота электровалентные связи. Два третичных атома азота стабилизируют это соединение за счет неподеленных пар электронов посредством координационной связи. При образовании комплексного соединения порфиринов с металлом электронная плотность по всем пиррольным кольцам выравнивается и они становятся эквивалентными. В результате этого изменяется симметрия молекулы, что сопровождается изменением ее спектральных характеристик.
Центральный атом магния определяет уникальные функции молекулы хлорофилла в фотосинтезе, связанные с поглощением, запасанием и преобразованием энергии. Д. Мозеролл (1974) считает, что использование магния первичными фототрофными организмами для построения фоторецепторных систем обусловлено определенными физико-химическими свойствами этого элемента. Магний отличается наиболее низкой величиной электроотрицательности (по Л. Полингу, Мg = 1,3; Zn = 1,6; Cu = 1,9), а магнийхелат порфирина имеет наиболее низкое значение редокс-потенциала, т е. отличается наименьшей способностью удерживать электроны. При включении магния в тетрапиррольную структуру снижается также величина потенциала ионизации. Поэтому магнийпроизводные порфирина являются сильными восстанавливающими агентами и в возбужденном состоянии способны восстанавливать соединения с высоким восстановительным потенциалом (-0,9 В).
Магний определяет ряд химических свойств хлорофилла. Обладая координационным числом 6, магний способен образовать дополнительно две координационные связи с атомами кислорода и азота. Благодаря этому магний участвует в образовании ассоциатов молекулы хлорофилла с другими молекулами пигментов (при образовании димеров в реакционных центрах), с белками, липидами, фосфолипидами и другими компонентами хлоропласта. Образование ассоциатов обусловливает сильное смещение абсорбционного максимума в длинноволновую область. В результате этого (по данным К. Френча, 1972 и Ф.Ф. Литвина, 1973) образуется серия так называемых «нативных» спектральных форм хлорофилла, выполняющих различные функции. Более коротковолновые формы (661, 670, 678 нм) участвуют главным образом в процессах поглощения энергии, более длинноволновые формы (683 нм) - в процессах ее миграции, а пигменты реакционных центров (П680, П700) - в процессах преобразования энергии.
Дополнительное циклопентанное кольцо. Значение V кольца хлорофилла определяется наличием в нем двух полярных групп - кетогруппы С9=O при 9-м атоме углерода и кетоэфирной группы при С10. Кетогруппа при С9 участвует в образовании водородной связи хлорофилла и молекулы воды. Через атом кислорода вода может образовать координационную связь с магнием одной молекулы хлорофилла и одновременно водородную связь с группой С = О другой молекулы. В результате образуются структуры Mg…O(Н)—Н…O=С. В данном случае воде принадлежит очень важная роль в образовании высокоорганизованных структур антенных комплексов. Неподеленные электроны атома кислорода C9=O группы V кольца могут участвовать в поглощении световой энергии и возбуждаться с переходом на π-орбиту, обусловливая так называемые n→π*- переходы.
Большое значение в образовании светпоглощающих структур хлоропластов принадлежит кетоэфирной группе V кольца. В отличие от группы С9=О, которая образует дополнительное сопряжение с π-электронной системой макроцикла, кетоэфирная группа при С10 не конъюгирует с циклической π-элект-ронной системой, вследствие чего образует более прочную связь с молекулой воды. Кроме того, кетоэфирная группа находится в транс- положении по отношению к плоскости порфинного кольца. Это позволило предположить участие кетоэфирной группы в образовании димеров П700 и П680 в реакционных центрах фотосистем.
Фитол представляет собой полиизопреноидную цепь, состоящую из 20 углеродных атомов (спирт фитол – С20Н39ОН), и является гидрофобным радикалом молекулы хлорофилла. Фитольная цепь не находится в электронном сопряжении с макроциклом и поэтому практически не влияет на электронную структуру хлорофилла в возбужденных состояниях S1 и S2. В нативной системе взаимодействие фитола с гидрофобными белками позволяет регулировать положение макроцикла по отношению к свету и, таким образом, изменять активность светопоглощения молекулой хлорофилла.
Оптические свойства. Резко выраженные максимумы поглощения хлорофиллов находятся в сине-фиолетовой и красной частях спектра. Хлорофиллы очень слабо поглощают оранжевые и желтые лучи и совсем не поглощают зеленые и инфракрасные. Поэтому раствор хлорофилла а имеет сине-зеленый цвет, хлорофилла b - желто-зеленый.
Необходимо отметить, что даже небольшое изменение в строении молекул приводит к значительным различиям в положении максимумов поглощения. Так, у хлорофилла b, отличающегося от хлорофилла а заменой метильной группы на альдегидную, максимумы поглощения света оказываются более сближенными за счет смещения сине-фиолетового в длинноволновую, а красного - в коротковолновую области. Кроме того, хлорофилл b более полно использует сине-фиолетовый свет, чем хлорофилл а; в красных лучах преимущества имеет хлорофилл а. Замещение магния протонами при обработке хлорофилла кислотой приводит к образованию феофитина, имеющего ослабленный красный максимум поглощения света и буро-зеленый цвет. Удаление остатков фитола и метилового спирта путем щелочного гидролиза слабо сказывается на оптических свойствах хлорофилла.
Раствор хлорофилла обладает яркой вишнево-красной флуоресценцией - излучением поглощенных квантов света. Хлорофилл в живом листе флуоресцирует слабо. Это связано с тем, что энергия поглощенных квантов в основном преобразуется в химическую, причем по степени флуоресценции листа можно судить об эффективности фотосинтеза. Чем интенсивнее флуоресценция, тем ниже КПД использования поглощенной энергии.
Каротиноиды - жирорастворимые пигменты желтого, оранжевого и красного цветов. Они входят в состав хлоропластов и хромопластов незеленых частей растений (цветков, плодов, корнеплодов). В зеленых листьях их окраска маскируется хлорофиллом. С его более ранним разрушением осенью или при неблагоприятных условиях связано пожелтение листьев.
По химической природе каротиноиды представляют собой полиизопреноидную цепь, состоящую из 40 атомов углерода, которая у большинства каротиноидов замыкается по концам в два иононовых кольца. Центральная часть молекулы, состоящая из 18 атомов углерода, представляет собой систему сопряженных связей, образуя основную хромофорную группу молекулы пигмента. В зависимости от содержания кислорода в молекуле каротиноида различают каротины (например, β-каротин), не содержащие кислорода, и ксантофиллы- содержащие кислород в форме гидроксигруппы или эпокси-группы. У высших растений главными представителями ксантофиллов являются лютеин, виолаксантин, зеаксантин и неоксантин.
Каротиноиды присутствуют в мембранах у всех фотосинтезирующих организмов, где они выполняют ряд важнейших функций в процессе фотосинтеза - антенную (дополнительные пигменты в процессе поглощения солнечной энергии), защитную (тушители триплетного хлорофилла и синглетного кислорода) и фотопротекторную (предохраняют реакционный центр от мощных потоков энергии при высоких интенсивностях света и стабилизируют липидную фазу тилакоидных мембран, защищая ее от переокисления).
Антенная функция предполагает энергетическое взаимодействие каротиноидов и хлорофиллов. Антенная функция имеет место в ССК и обусловлена синглетно-возбужденным состоянием каротиноидов. Таким образом, главная функция каротиноидов в ССК - поглощение энергии и перенос ее на хлорофилл. Для этой цели в эволюции были отобраны «все-транс» каротиноиды. Каротиноиды характеризуются определенным спектром поглощения в сине-зеленой области (400-550 нм). Хромофорная группа различных каротиноидов может включать от 9 до 13 двойных связей, что определяет положение максимумов, энергию возбуждения и общий вид спектра поглощения. У большинства каротиноидов спектр поглощения имеет главный максимум и два более или менее выраженных «плеча».

Каротиноиды в антенном комплексе и реакционном центре выполняют уникальную «защитную» функцию, которая осуществляется с участием Т1-состояний и связана с тушением возбужденных триплетных состояний хлорофилла и синглетного кислорода (1О2). Механизм фотоповреждения фотосинтетического аппарата в случае оксигенного фотосинтеза обусловлен фотодеструктивным действием активных форм кислорода, главным образом синглетного кислорода 1О2, образующегося при взаимодействии основной формы кислорода в атмосфере 3О2 с триплетно-возбужденным пигментом-сенсибилизатором (хлорофилл, бактериохлорофилл и др.).
Образующийся синглетный кислород является сильным окислителем и вызывает фотоокисление окружающих структур. Особенно активно эти процессы протекают в реакционных центрах, где образование триплетного хлорофилла (3Xл) происходит в результате возможного возврата богатого энергией электрона от первичного акцептора к пигментам реакционного центра П680 или П700. Каротиноиды, содержащие 9 и более двойных связей, могут эффективно тушить триплетное состояние хлорофилла и образовавшийся синглетный кислород. Механизм защитного действия β-каротина в реакционном центре включает перенос энергии от 3Xл или 1О2 к β-каротину и диссипацию энергии образующегося триплетного каротина через процесс нерадиационной релаксации в тепло с переходом β-каротина в состояние S0. Каротиноиды способны также путем переноса электрона модифицировать структуру радикальных соединений и тушить свободные радикалы, возникающие при освещении.
Фотопротекторная функция каротиноидов состоит в защите фотосинтетического аппарата от излишка энергии возбуждения при высокой интенсивности света. Эта функция связана с каротиноидами, образующими так называемый «ксантофилловый цикл».
У высших растений и зеленых водорослей ксантофилловый цикл включает энзиматическое превращение виолаксантина в зеаксантин через интермедиат антераксантин. Процесс катализируется ферментом деэпоксидазой, требует участия аскорбата и кислой среды (оптимум действия фермента при рН 5,0). Такие условия рН создаются в люмене при освещении хлоропластов. В темноте протекает обратная реакция превращения зеаксантина в виолаксантин, которая катализируется эпоксидазой. Реакция эпоксидации осуществляется на внешней стороне мембраны при участии НАДФН и требует присутствия кислорода. Один из атомов молекулы кислорода включается в зеаксантин, другой атом в присутствии НАДФН образует Н2О. Повторная реакция со второй молекулой O2 приводит к образованию виолаксантина. Главная функция в защите фотосинтетического аппарата от повреждений высокой интенсивностью света принадлежит зеаксантину.
В последние годы установлено, что каротиноиды хлоропластов могут выполнять важную структурную роль. При действии света высокой интенсивности ксантофиллы распределяются между ССК и липидной фазой мембран. Молекула зеаксантина ориентируется в липидном слое перпендикулярно к поверхности мембраны. Присутствие двух полярных гидроксильных групп на кольцах молекулы позволяет зеаксантину закрепляться на обеих сторонах мембраны, соединяя два липидных слоя. Благодаря этому при взаимодействии зеаксантина с липидами снижается свойство высокой текучести, характерное для тила-коидных мембран, и увеличивается вязкость мембран, что уменьшает их чувствительность к переокислению активными формами кислорода. Повышение вязкости мембраны и уменьшение ее проницаемости по отношению к молекулярному кислороду при участии ксантофиллов и некоторых терпеноидов (α-токоферол) стабилизирует и защищает липидную фазу тилакоидных мембран от фотодеструкции.
Структурные изменения молекул хлорофилла в процессе эволюции и, прежде всего, включение гидрофобных радикалов и обусловленное этим изменение свойств полярности обеспечило возможность включения пигментов в мембранные белки хлоропластов с образованием разного типа пигмент-белковых комплексов. Механизм образования пигмент-белковых комплексов включает электростатическое взаимодействие аминокислотных групп белка с С=O-группой молекулы хлорофилла, координационные взаимодействия с центральным атомом магния и гидрофобные взаимодействия с фитолом. В результате в тилакоидных мембранах хлоропластов формируются пигмент-белковые комплексы, включающие фоторецепторные системы, что имеет решающее значение для осуществления основных (перечисленных ниже) функций пигментов в фотосинтезе.
· Организация пигментов фотосинтетического аппарата в виде светособи-рающих (антенных) комплексов, функционально сопряженных с реакционным центром, обеспечивает коллективное и эффективное поглощение энергии фотонов и передачу ее в реакционные центры, где энергия электронного возбуждения используется для фотохимических реакций.
· Связь пигментов с белком определяет межмолекулярное расстояние между ними (1,15 нм) и взаимную ориентацию молекул пигментов в светособирающих (антенных) комплексах, что необходимо для эффективной миграции энергии в реакционные центры.
· Стабильные условия микроокружения пигментов в белковой глобуле обеспечивают создание устойчивых спектральных форм в ССК, в результате чего формируется широкий, сильно перекрывающийся спектр поглощения, необходимый для эффективного экситонного взаимодействия пигментов и направленной миграции энергии.
· Образование связи пигментов с белками создает возможность участия белков в транспорте электронов в первичных процессах фотосинтеза.
· Образование пигмент-белковых комплексов создает возможность регуляции фотопоглощающей активности пигментов путем изменений конформации белков (в зависимости от рН, ионной силы, фосфорилирования белка) и изменения ориентации пигментов по отношению к направлению светового луча.
Зависимость образования пигментов от внутреннего состояния растений и внешних условий. Первые признаки зеленения выращенных в темноте этиолированных растений наблюдаются через 2-4 ч после начала освещения. Оптимальным для синтеза хлорофилла является освещение 200 Вт/м2. При сильном повышении интенсивности света биосинтез хлорофилла начинает замедляться. Поэтому световые листья имеют меньшую концентрацию хлорофилла, чем темновые (эффект Шталя).
В опытах В.Н. Любименко показан нижний предел освещенности для образования хлорофилла. У проростков ячменя и овса таким пределом было освещение лампой накаливания мощностью 10 Вт. При исследованиях было выявлено, что образование хлорофилла идет интенсивнее на прерывистом свете.
Образование хлорофилла зависит от температуры. Оптимальной температурой для накопления хлорофилла является 20- 25 °С, причем особое значение температура имеет для темновых реакций синтеза предшественников хлорофилла. Поэтому растения ранней весной часто не зеленеют и остаются этиолированными до тех пор, пока температура не превысит 10 °С. На скорость образования хлорофилла и особенно его предшественников оказывает влияние оводненность тканей. При недостаточной водообеспеченности биосинтез хлорофилла затормаживается и наблюдается его распад. Пожелтение листьев при сильных засухах - обычное внешнее проявление водного дефицита.
Важное значение для образования хлорофилла имеют условия минерального питания. Растениям прежде всего необходимо хорошее обеспечение азотом и магнием, которые входят в состав хлорофилла. При недостатке этих элементов наблюдается хлороз - утрата зеленой окраски листьев. Причиной хлороза может быть и дефицит железа. Железо входит в состав ферментов, катализирующих важнейшие звенья биосинтеза хлорофилла. При недостатке меди хлорофилл легко разрушается, так как нарушаются комплексы между хлорофиллом и соответствующими белками.
На общий ход биосинтеза хлорофилла влияет возраст листьев и растения в целом. В молодых листьях биосинтез хлорофилла идет в 10-15 раз быстрее, чем в старых. Молекулы хлорофилла не могут служить неограниченно долго. Часть их постепенно разрушается, заменяясь вновь синтезированными. «Молодые» молекулы хлорофилла в химическом отношении тождественны «старым», но имеют иную связь с белками и работают более активно. Таким образом, биосинтез и распад хлорофилла представляют сложный комплекс биохимических реакций, находящихся под контролем как генетических факторов, так и условий произрастания растений.