Специальные
На модульной арифметике (ассиметричные алгоритмы)
На блочных шифрах
Достоинство: высокая скорость.
Недостаток: блочный шифр обратим и поэтому может обладать дополнительными слабостями.
Достоинства: - используют имеющиеся примиивы безопасности;
- адаптация уровней безопасности.
Могут быть адаптированы под аппаратное обеспечение.
ГОСТ:
m1 m2 ml
|| || ||

MAC – Message Authentication Code
MAC – аглоритм, зависящий от секретного ключа, обладающий следующими свойствами:
1. компрессия
2. вычислимость
3. вычислительная безопасность.
Если t – длины ключа, то для идеальной хэш-функции вычисление ключа по известным параметрам требует 2t операций.
Виды MAC:
1. на основе блочных шифров в режиме обратной связи по шифр-тексту;
2. на основе бесключевых хэш – функций:
a) ключ приписывается в начале;
b) ключ приписывается в конце (подвержен атакам на основе парадокса дней рождения).
3. специальные.
Виды атак на хэш-функции
1. на основе парадоксов дней рождения;
2. поиск псевдоколлизий (можно выбрать инициализирующий вектор);
Осуществляется удалением первых блоков.

3. атаки на шаговую функцию хэширования.

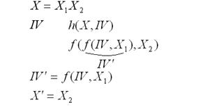
f – шаговая функция
: f(IV, x1 )=f(IV,
)
- второй прообраз.
Использование слабостей блочных шифров
v Блочный шифр может обладать свойством дополнения

Выход будет одинаковым для
и
.
v Слабые ключи
, k – слабый ключ.

Можно вставить два блока, содержащие слабые ключи.
v Фиксированные точки

Тогда
.
v Коллизия ключей

Алгебраические методы криптоанализа.






